A procedure commonly used to investigate remembering behavior is delayed matching-to-sample (DMTS) (Costa et al., 2013), a conditional discrimination procedure in which an individual responds to comparison stimuli in the absence of the sample stimulus. Programmed contingency involves the presentation of a sample stimulus. Upon an observation response emitted by the individual, the sample stimulus disappears for a programmed period (delay) - which may range from zero seconds to a more extended period - and then comparison stimuli are presented. When facing the comparison stimuli, the individual must respond to the stimulus corresponding to the sample while it is absent (Costa et al., 2013). Although not frequently investigated, a relevant variable in studies using DMTS tasks refers to precurrent behaviors, which concern strategies and problem-solving behaviors in which individuals attempt to recall information (Palmer, 1991; Delaney & Austin, 1998).
Different studies adopted the DMTS procedure to investigate the effects of delay on the performance of different populations (Ameli et al., 1988; Barth et al., 1995; Ciavarri, 2017; Costa et al., 2013; Dalton et al., 1974; Esteban et al., 2014; Gutowski, & Stromer, 2003; Salmanian et al., 2012; Teixeira et al., 2023; Williams et al., 2006). In general, studies addressing individuals with developmental delays show that increased delays influence stimulus discrimination, with performance decreasing as a function of increased delays (Dalton et al., 1974; Ameli et al., 1988; Barth et al., 1995; Gutowski & Stromer, 2003; Williams et al., 2006; Salmanian et al., 2012; Ciavarri, 2017; Teixeira, 2019; Teixeira et al, 2023). However, authors (Ameli et al., 1988; Barth et al., 1995; Williams et al., 2006; Salmanian et al., 2012) suggest that, when analyzing data from ASD subgroups (high and low functioning as a variable), a difference is found in the participants’ performance: with the low-functioning ASD group finding the task more challenging. The high-functioning ASD group performs similarly to the typical development population.
Regarding studies addressing people with intellectual disabilities and using strategies to assess the performance of delayed-conditional-discrimination tasks, Constantine and Sidman (1975) exposed four adults with intellectual disabilities to the visual-visual identity and non-identity and auditory-visual MTS and then used the DMTS task with different delay times. In general, the participants’ performance worsened as delays increased. Hence, the participants were taught naming stimuli and later, in a second experiment, were exposed to the same DMTS procedure. However, this time, they were instructed to name the sample stimulus before selecting it. The results showed that three out of the four participants performed better after being instructed to name the stimulus. However, performance worsened again when they were not instructed to name the sample stimulus, i.e., they only named the sample stimulus if instructed to do so. Nonetheless, after adjusting how instructions were given, one participant named the stimuli without instruction, improving his performance on delayed correspondence.
Lowenkron (1988) also aimed to teach mediating behaviors to four adolescents with intellectual disabilities. The stimuli included abstract figures to establish identity relationships. First, the participants were exposed to simultaneous MTS tasks and later to DMTS tasks. Delays increased until performance declined to identify the delay proposed in the DMTS task. The participants were trained to engage in motor behavior (hand signs) during the delay in DMTS tasks. After learning hand signs, the participants repeated the DMTS task and engaged in these motor movements during the delay. The results showed that the hand signs favored the participants’ performance in the DMTS tasks and significantly improved in all the delays adopted after teaching the precurrent behavior.
Ciavarri (2017) aimed to assess remembering among individuals with Down Syndrome above 30 years of age, an age group in which dementia, such as Alzheimer’s, is frequent in this population. Experiment 1 consisted of identity tasks, including three comparison stimuli verified via simultaneous MTS and DMTS tasks with delays of 0.3 and 6 seconds. Two conditions were proposed in Experiment 2: the production of a mediating response during the delay and disruption of such a response to hinder engagement in mediating behavior. Distracter-specific responses consisted of vocal naming of the distractor stimuli presented. The results were consistent with the literature regarding decreased performance due to increased delay. Mediating behaviors can function as a precurrent behavior to remembering, considering that performance on DMTS tasks increased after teaching the mediating behavior (tracing and naming) and declined after interrupting engagement in mediating behaviors (keeping hands crossed and/or naming other stimuli).
Teixeira (2019) conducted a similar study and investigated the effect of different delay times in conditional, identity, and arbitrary discrimination tasks among adolescents with and without intellectual disabilities. The participants’ reports revealed the precurrent behaviors adopted during delays in DMTS tasks. Eight participants, between 11 and 14, without disabilities and six with intellectual disabilities, participated. The procedure consisted of pre-training, teaching identity and arbitrary relationships via MTS, with continuous and intermittent reinforcement, and DMTS tests with 0, 2, 4, 6, and 8-second delays, performed after teaching each relationship. After completing the tests with different delays (0, 2, 4, 6, and 8 seconds), each participant was asked: “What did you do during the task? Did you use any strategy to help you remember the pictures?” When the participant had difficulty reporting, the researcher showed the task on the computer screen to help.
In general, Teixeira’s (2019) findings showed that increased delay results in worsened performance, mainly among those with intellectual disabilities, more specifically, individuals with Down syndrome. Additionally, aligned with other studies (Dalton et al., 1974; Gutowski & Stromer, 2003; Esteban et al., 2014), performance was more frequently impaired in the arbitrary conditional discrimination tasks than in the identity tasks. Regarding the reporting of strategies, the participants with intellectual disabilities found it challenging to report the strategies they adopted, while those without disabilities had no problems reporting. Different strategies were identified, but naming was the most frequent. As for performance on the DMTS tasks and precurrent behaviors, the participants engaging in precurrent behaviors generally performed better. However, it is noteworthy that one of the participants with intellectual disability, who was unable to report the strategy used, performed similarly to those participants without disabilities. This fact suggests that not knowing how to report-perhaps a language-related difficulty-does not mean she did not engage in precurrent behaviors; she may have done it without showing.
Considering the results of studies addressing populations with intellectual disability (ID) or ASD and also the fact that the present study was performed during the COVID-19 pandemic, this study aimed to verify the effect of different delay times in conditional discrimination, identity and arbitrary tests applied online among young individuals with ID and children with ASD and whether the contingencies for engaging in precurrent behaviors, when necessary, were relevant for the participants’ performances.
Method
Participants
Four children, between six and 11, diagnosed with ASD, an 18-year-old with Down Syndrome, and a 25-year-old individual with intellectual disability participated in this study. Table 1 presents the participants’ characteristics, including fictitious name, age, state of residence, diagnosis, school year (all attended public schools), and whether they had already participated in other surveys (e.g., Resource Room and experimental background). Regarding language skills (understanding receptive and expressive language), the mothers of three participants (Agnes, Poly, Ciça) reported that they understood receptive and expressive language when talking to different people; however, they liked to speak only about topics of their interest. Two participants (Patrick and Lucas) understood receptive and expressive language and could discuss different topics with anyone. One participant (Yuri) also showed an understanding of receptive and expressive language and could talk about various topics with anyone; however, his caregiver would help him by giving guidance whenever he had difficulty expressing himself. Four participants (Poly, Patrick, Lucas, and Ciça) were literate. The Research Ethics Committee of a Public University approved this study. Invitations to participate in the study were sent to research groups via WhatsApp. Parents and guardians contacted the researcher directly to receive clarification about the study and sign a consent form.
Table 1 Participants’ Characterization
| Participant | Age (years) |
State of residence | Diagnosis | School year | Resources Room | Experimental background |
|---|---|---|---|---|---|---|
| Agnes | 6 | SP | ASD and ADHD* | kindergarten | No | Yes |
| Poly | 8 | MG | ASD | 3rd grade | Yes | Yes |
| Patrick | 11 | MG | ASD | 6th grade | Yes | No |
| Lucas | 11 | SP | ASD and ADHD | 5th grade | Yes | No |
| Yuri1 | 18 | SP | Down Syndrome | 11th grade | No | Yes |
| Ciça | 25 | SP | Intellectual disability | Primary school | No | No |
* ADHD - Attention Deficit Hyperactivity Disorder
1 The caregiver reported that Yuri stopped attending Resources Room in 2018 when a support tutor was found.
Material and equipment
The MTS software programmed the experimental sessions (Dube, 2013). The researcher used a notebook to collect data, and the participants used a notebook or a mobile phone. Games and other websites were also used via a web browser, computer, or mobile phone as potentially reinforcing items. The participants could choose one of the items to play with or access after the experimental session.
Experimental setting
The first contact was made with parents and participants via WhatsApp. A meeting was scheduled to explain the study’s objective and the procedure’s steps. The participants also received clarification about how the activities would be implemented via a video call application. The meetings’ days and times were also scheduled. Data were collected online via the Zoom Cloud Meetings application on the days and times agreed upon by the parents and participants.
During this study, two participants, Patrick and Ciça, were autonomous in entering and leaving the application room. Hence, the access link was sent to their mobile phones via WhatsApp. Agnes, Poly, Lucas, and Yuri had help from their caregivers in entering and leaving the application room, in which case, the link was sent to their parents’ WhatsApp. The six participants showed mastery in handling the tools to perform the tasks.
Experimental Design
The reversal design with multiple treatments was adopted. Reversal refers to withdrawing the intervention to compare the effects of the different experimental conditions with each other (Cooper et al., 2014). The experimental design proposed was A-B-BC-B, with condition A referring to the baseline, condition B referring to tests with different delays for identity and arbitrary relationships, and condition BC referring to the conditions where the cues were presented in the DMTS tasks (when necessary).
Instruments
A questionnaire was sent to parents and guardians via Google Forms to characterize the participants. It was divided into three sections and addressed the participants’ relevant data (e.g., date of birth, school year, appointments, among others) and information on cognitive abilities (e.g., memory, problem-solving, among others). Regarding language skills, items concerning communication skills (e.g., understanding receptive and expressive language) were included.
Experimental Stimuli
The same three sets of abstract stimuli used by Teixeira (2019) were adopted in the experimental tasks. One set was used to teach identity relationships, and two were used to introduce arbitrary relationships. Table 2 presents the stimuli used.
Consequences
A differential consequence was programmed in the teaching for correct and incorrect responses. A smiley face and a sound would be displayed on the computer screen upon completion (correct answers). In contrast, a dark screen would appear when an error occurred. No differential reinforcement was programmed for success and failure in the tests. The researcher also presented social consequences contingent on success and/or task participation during the procedure. At the end of the task, the participants could choose a game on the computer or access a video website such as YouTube.
General Procedure
The experimental sessions began by allowing the participants to practice the identity relationship with visual stimuli through the matching-to-sample (MTS) procedure. Later, the testing sessions were performed using the delay matching procedure (DMTS) (0, 2, 4, 6, and 8 seconds).
If the participant did not meet the criterion (80% of correct answers) in the tests, a new teaching session was scheduled for the DMTS task with the same delay in which the criterion was not met. After completing 100% of the trials correctly, the test was applied again with the same delay. If the criterion were met in the test, the participant would perform the following test with a scheduled delay, and so forth with the remaining delays.
After this stage, the teaching of arbitrary relations began via MTS and tests with DMTS, with delays (0, 2, 4, 6, and 8 seconds). If the participant did not meet the criterion (80% of correct answers) in the tests, the procedure was the same as the one used to teach the identity relationships. At the end of the procedure, each participant was asked which strategy they used. Figure 1 presents the sequence of steps in the general procedure.
In the training phase, a maximum of two sessions were performed daily, while one was conducted daily in the testing phase. The number of days data were collected varied among the participants according to their routines, ranging from two to four times a week.
Training and Testing: Identity Matching-to-Sample
Identity Matching training
Identity matching-to-sample was conducted in two stages: 1) continuous reinforcement for teaching and performance maintenance and 2) intermittent reinforcement to prepare for the tests (in extinction) and performance maintenance, with consequences programmed for 50% and 0%, respectively. Each session consisted of 12 trials. Before initiating the task, the researcher provided the following instruction: “A figure will appear in the center of the computer screen; click on it, and three other figures will appear in the corners of the screen. Then, you must click on one of them. If you get it right, a smiley face and a sound will appear. If you do not get it right, a black screen will appear without the smiley face or sound.” Each trial began with the presentation of the sample stimulus in the center of the computer screen, and the participant had to select the stimulus. Next, the three comparison stimuli were presented (one identical to and two different from the sample); the participant was supposed to select the stimulus identical to the sample stimulus. When the participant chose correctly, a screen with a smiley face and sound appeared. However, when the participant did not get it right, a dark screen appeared for two milliseconds. The learning criterion was correctly answering 100% of the items in one session. At this stage, all trials were programmed with differential consequences.
After reaching the criterion with continuous reinforcement, the programmed consequences were decreased until they were absent. Differential consequences were programmed into 50% and 0% of session trials. The criterion was providing correct responses to 100% of the items for each reinforcement schedule in each session. The researcher presented the following instructions to start the intermittent training:“Now you will do the same thing, click on the center figure and then on the corner figure, but the happy face and sound will not appear every time you get it right.” In the sessions with extinction training, the researcher presented the instruction: “Now the face and sound will not appear when you get it right. Keep paying attention.” This stage aimed to keep the participants responding despite the absence of consequences.
Matching tests with the delayed sample
The tests began with the DMTS procedure after the participants met the learning criterion in the training phase. Delays of 0, 2, 4, 6, and 8 seconds were adopted, with one test session for each delay. No differential consequences were programmed for success and failure. Each session consisted of 12 trials. The trials in the DMTS sessions began with a sample stimulus being presented. After an observation response was provided to the sample, it disappeared, and the three comparison stimuli were presented according to the programmed delay time. The participant had to select the comparison stimulus corresponding to the sample stimulus (no longer on the screen). In the first test session, the matching tasks were performed with a delay of 0 seconds between the end of the sample stimulus’s presentation and the comparison stimuli’s presentation. Next, the matching tasks were delayed by 2 seconds, and so on for 4, 6, and 8 seconds. The learning criterion was providing correct responses to 80% of the trials. The participant would work on the next test if the criterion was met and attend training sessions with DMTS if the criterion were unmet.
Training and Testing: Arbitrary Matching-to-Sample
Training and matching tests with arbitrary relationships had identical sequences and criteria as training (continuous and intermittent reinforcement) and identity relationship tests. The difference refers to the non-physical similarity between the stimuli sets (arbitrary relationship between stimuli).
Training programmed with Delayed Matching-to-Sample (DMTS)
Delayed Matching-to-Sample training with differential reinforcement
If a participant provided a correct response to less than 80% of the test with delay, they would perform a training session with the same delay adopted in the test. Hence, the same test procedure would be proposed, only this time, with a differential reinforcement for correct and incorrect responses, the same ones programmed in MTS training. The objective was to verify the effect of programming consequences on the participants’ performance in learning arbitrary relationships. The participants performed a 12-trial session, and if they met the criterion (100% of correct responses), they would perform the test session again with the same delay. If they did not meet the criterion in a training session or test (80% correct), they would attend matching training with the delayed sample and cues.
Delayed Matching-to-Sample training with differential reinforcement and oral cues
The same configuration used in previous training sessions was presented in the training sessions for delayed matching-to-sample and oral cues. In this case, whenever a participant provided an incorrect response, the researcher would provide an oral cue in the subsequent trial: “Look carefully at this figure because later you will have to remember which one you saw.” If the participant expressed doubts or asked the researcher which stimulus to select when comparing the stimuli, the researcher would say: “Do you remember which one you saw before? Which one was it?” The learning criterion was independently (i.e., without cues) providing correct responses to 100% of the trials in one session. If the participants met the criterion, they would be exposed to the test again with the same delay adopted in the training session. If a performance better than 80% was obtained in the test, the participant would be exposed to the next test with a delay. However, if they performed below 80%, they would be exposed to the next training with a delay and stimuli naming.
This step was intended to verify whether the oral cue provided by the researcher would help the participants control the stimuli during the DMTS procedure.
Delayed Matching-to-Sample training with differential reinforcement and naming cues
The delayed matching-to-sample training included teaching naming stimuli. Before starting the task, the researcher presented a general instruction to the participants on what the activity would be like, saying that the task was the same as the one they had done before, only that this time they would name the figure when it appeared on the screen.
During the delayed matching task, when facing the sample stimulus, the researcher would ask the participant: “What is this figure?”. If the participant did not name the stimulus, the researcher would ask: “What do you think it is? Does it look like anything you have seen before?” After the participant’s answer, the researcher would repeat the name given and ask them to repeat the name. If the participant did not name the stimulus, the researcher would repeat the previous instruction, making some inferences about what the stimulus looked like and asking them to look at it and think about what it could be. If there were no responses, a semantic clue was given, for example: “Does it look like a letter?” If, even after a few trials, the participant did not name it, the researcher would name it, giving it a pseudoword. The researcher would instruct the participant to name the stimulus during the trials. If the participant did not get it right, the researcher would say the name previously given by the participant. In an independent response session, the participant was supposed to meet the learning criterion (100% of correct responses) to ensure the relationship was learned.
Maintenance and Generalization
Maintenance and generalization assessments were not foreseen in the initial study planning. However, given the results obtained by Yuri and Ciça, maintenance and generalization measures were planned for them.
The maintenance task consisted of implementing the DMTS task again, with an 8-second delay with the arbitrary relationship stimuli and without differential reinforcement. Measurements were taken 15 days after the procedure.
The generalization tasks were conducted in two stages: abstract and nameable stimuli (sneakers, a mobile phone, and a dice). The settings were the same as those used for the DMTS tasks and were performed with an 8-second delay. If performance in the session with abstract stimuli were less than 80% correct responses (first stage), it would be implemented again after the session with nameable stimuli (if performance in the second stage was greater than 80% correct responses). The reapplication aimed to verify whether the participants would engage in public behavior with characteristics of precurrent behaviors (e.g., naming the stimulus) during the delay in the task with abstract stimuli.
Participants’ reports of the strategies adopted during the procedure
After finishing the tasks, the researcher asked each participant about their strategy during the procedure. First, they were asked, “What did you do during the task? Did you use any strategy to help you remember the pictures?”
If the participant had difficulty reporting, the researcher would present a PowerPoint presentation with the strategies so that the participant could indicate the strategy(s) they had adopted. The first slide presented the question asked by the researcher (“What did you do in the task?”). Next, slide two was presented, and the participant was asked to point/indicate one of three strategies: “I named the figure,” “I kept thinking about the figure I saw,” and “I kept thinking about something that looked like the figure.” Then, the trials were individually explained to the participants if they still found them challenging. After indicating the strategy adopted, the participant was asked to report how they did it. The following slides (3 and 4) were presented if the participant had difficulty reporting the strategy, e.g., recalling the name given. Slides 5 and 6 were presented in the sequence if the participant found it challenging to report on the presentation of the two previous slides (3 and 4). These slides presented the task configuration in the DMTS to simulate the task, help the participants understand the request, and report how they performed it.
Additional Procedures
Additional procedures were presented to participants Yuri and Ciça.
Participant Yuri
Participant Yuri had difficulty establishing arbitrary relationships with the procedure proposed. Therefore, the blocked procedure (Saunders & Spradlin, 1989) was performed with the same configuration used by Teixeira (2019). A change was proposed in the sample stimuli after he did not meet the learning criterion in 10 training sessions.
Training with new sample stimuli: Stimuli were changed to promote discrimination and stimulus control during the procedure. The sample stimuli were replaced with stimuli known to the participant in the training of arbitrary relationships. Two sets of stimuli, abstract and animal (cat, cow, and dog), were used, with the animals being presented as a sample stimulus (A) and abstract as a comparison (B).
Training with new sample stimuli and naming: The session began by presenting the sample stimulus, and the researcher asked the participant to name it: “What figure is this?”. After naming it, the participant would click on the sample stimulus, and the comparison stimuli would be presented. Then, the researcher would ask for the name of each stimulus. This configuration was presented in the first three trials with different sample stimuli (A1, A2, and A3). In the remaining, the researcher would request the participant to name the stimulus only after an error. For example, if the participant made a mistake in one trial, they would be asked to name the stimulus in the subsequent trial. The learning criterion was correctly providing independent correct responses (i.e., without receiving any instruction to name the stimuli) to 100% of the trials in one session.
Participant Ciça
Given participant Ciça’s performance in the initial procedure for the arbitrary relationship, new training was proposed with new sample stimuli. However, given her performance in this additional procedure and considering how effective the new stimuli and naming procedure were with participant Yuri, it was also proposed for Ciça.
Inter-observer agreement
A second observer, familiar with the procedure, was chosen to analyze the videos, and the agreement index was calculated. Approximately 30% of each participant’s testing and strategy reporting sessions were selected for the analysis. The agreement index was calculated using the number of agreements divided by the number of agreements plus disagreements multiplied by 100 (Sella et al., 2020). The following test results were found: 97% for participant Agnes, 100% for participant Poly, 100% for participant Patrick, 100% for participant Lucas, 95% for participant Yuri, and 100% for participant Ciça.
Procedural Fidelity
The analysis of procedural fidelity was intended to verify whether the teaching procedure was implemented as planned. Similar to the agreement calculation, approximately 30% of the training sessions of each participant were selected. The trials assessed concerned instruction, whether the researcher gave instructions to facilitate the participants’ understanding, whether there were cues to encourage the participants’ responses, whether there were consequences for the participants’ responses beyond those programmed for the activity, and whether there were social consequences to favor the participants’ engagement in the tasks. It was also verified whether the participants commented on the stimuli while performing the tasks. The number of correct implementations was divided by the total implementations multiplied by 100 (Martins & Barros, 2020). The results were 100% for participants Agnes, Poly, Patrick, Lucas, and Ciça and 95% for participant Yuri.
Results
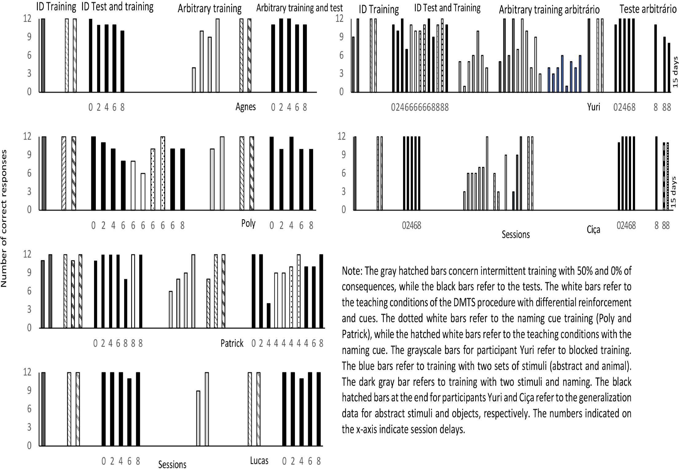
Figure 2 shows the performance of six participants in the DMTS training and testing sessions. The results show that all participants performed the minimum number of sessions scheduled for the identity relationship tasks. Two participants with ASD (Agnes and Lucas) performed the minimum sessions planned for the baseline tasks and did not require DMTS training. Participants Poly and Patrick (ASD) and Yuri (intellectual disability) required DMTS training sessions for the identity relationships at some point during the procedure. Participants with ASD (Agnes, Poly, Patrick, and Lucas) performed the procedure programmed for arbitrary relationships, and participants with intellectual disabilities (Yuri and Ciça) required additional training to establish relationship learning. Participants Agnes, Poly, and Lucas (ASD) and Yuri and Ciça (intellectual disability) did not require DMTS training, and participant Patrick (ASD) underwent three DMTS training sessions for the arbitrary relationships.
In the identity MTS, participant Poly (ASD) was exposed to naming cue training after the third session of DMTS training (dotted bars). In the training and testing of arbitrary relationships, Patrick (ASD) required naming training (dotted bars). Participant Yuri (ID) performed naming training (the same as proposed in the DMTS training procedure). Participant Ciça (ID) performed the teaching stage with new sample stimuli, requiring the stimulus naming stage (the same as proposed in the DMTS Training procedure).
Regarding the generalization and maintenance tasks, participant Yuri performed maintenance (15 days) and generalization measures after reporting his strategies. He answered 11 trials correctly in the maintenance task with the abstract and animal stimuli set, with an 8-second delay. He answered nine trials correctly in the generalization tasks with the abstract stimuli set and eight with the nameable stimuli set. After reporting on her strategies, participant Ciça answered 12 trials correctly in the maintenance task (15 days) and answered 11 trials correctly in the generalization tasks, both with the abstract and the nameable stimuli sets.
Considering the relevance of precurrent behavior in matching tasks according to the delay sample, public behaviors with characteristics of precurrent behaviors (e.g., saying “FFFF” when dealing with an abstract stimulus) during the testing sessions were analyzed. Figure 3 shows the performance of the seven participants concerning the number of precurrent behaviors emitted during the tests. In general, all participants, except for Ciça (ID), publicly engaged in precurrent behaviors at some point during the DMTS tests. Participant Agnes (ASD) did not publicly present any precurrent behavior in the tests on identity relationships. However, she did it for the tests with a delay of 2, 4, and 8 seconds for the arbitrary relationships. For example, in the test session with a 2-second delay, the participant said: “Are those glasses?” Poly (ASD) publicly presented four precurrent behaviors in the first identity relationship testing session but did not present them in the remaining sessions. In the session with a 0-second delay, she said the following when facing stimulus A1: “This is F.” Patrick (ASD) presented precurrent behaviors for delays of 2, 4, and 6 seconds for the identity and arbitrary relationships and in the tests for identity relationships; and for arbitrary relationships in the 4, 6 and 8-second tests. Such behavior was more frequent in this type of task. Participant Lucas (ASD) publicly presented precurrent behaviors in most testing sessions, though not in the first test session, with 0 seconds. These behaviors were more frequent in the arbitrary relationship tests. In the tests for arbitrary relationships, he publicly presented precurrent behaviors in almost all sessions. For example: “Spiderman with Batman,” and another trial: “Fast with the mad scientist.” Participant Yuri (ID) publicly engaged in precurrent behaviors from the sixth session of the identity relationships test, with an 8-second delay. Engagement was also observed in almost all test sessions for arbitrary relationships, though not in the test with a 6-second delay. For example, when faced with stimulus A1 in the session with an 8-second delay for the identity relationships, the participant said: “Domino,” in another trial, when faced with stimulus A2, he said: “Earthworm.” Again, in the 8-second delay session in the arbitrary relationship, he said: “dog with a ball.”

Figure 3 Participants’ Performance in the Identity and Arbitrary Relationship Tests (bars) and Precurrent Behaviors (points)
After completing all tasks, the researcher asked each participant about their strategies during the procedure. Participant Lucas reported without hesitation that when the researcher asked the question, he thought of something resembling the figure and named it. Participants Poly, Yuri, Patrick, and Ciça needed a PowerPoint presentation to indicate their strategy: naming the stimuli. Participants Poly, Patrick, and Yuri performed the DMTS teaching sessions at some point during the procedure, in which they had to name the stimuli. Participant Ciça also reported that she would think of something that looked like the stimuli in the identity relationships and named the stimuli in the set in the arbitrary relationships. All participants generally reported that they considered or named something resembling the figure.
Discussion
This study aimed to verify the effect of different delay times in conditional, identity, and arbitrary discrimination tasks applied online among children with ASD and young people and adults with intellectual disabilities. Additionally, it aimed to assess whether the contingencies of cues for engagement in precurrent behaviors, when necessary, were relevant to the participant’s performances. The results show that six participants (four with autism and two with intellectual disabilities) performed the procedures initially proposed in the training and testing tasks. However, two participants with intellectual disabilities (Yuri and Ciça) required additional procedures to establish the arbitrary relationship.
In general, the results regarding the tests with different delays revealed that the different delays (0, 2, 4, 6, and 8 seconds) were relevant for most participants’ performance in the matching tasks. Like previous studies, performance worsened as delays increased (Dalton et al., 1974; Constantine & Sidman, 1975; Gutowski & Stromer, 2003; Ciavarri, 2017; Teixeira, 2019). The performance of children with ASD in visual memory tasks (discrimination visual with nameable stimuli) corroborates some studies (Ameli et al., 1988; Barth et al., 1995; Williams et al., 2006; Salmanian et al., 2012) but does not corroborate performance with abstract stimuli. Unlike what was observed in other studies (Ameli et al., 1988; Salmanian et al., 2012), in this study, the participants with ASD showed a high rate of correct responses in the delayed matching tasks with abstract stimuli.
Considering the need for training in the delay task, three participants (Poly, Patrick, and Yuri) needed DMTS teaching with different delays. In general, the results suggest that the contingencies of cues for engagement in precurrent behaviors were favorable, improving performance on DMTS tasks. There was a more significant number of precurrent behaviors for arbitrary relationships, i.e., it appears that the type of relationship influences engagement in precurrent behaviors. Perhaps the DMTS tasks with visual stimuli adopted in this study required greater stimulus control to respond to the arbitrary relationship, in which the sample and comparison stimuli did not present physical similarity, different from the identity relationship in which the participant should choose the comparison stimulus identical to the sample. Future studies are suggested to more systematically investigate whether and how the type of task influences engagement in precurrent behaviors.
Maintenance and generalization measures were implemented for participants Yuri and Ciça 15 days after the procedure ended. The results show that both participants maintained their performance and made generalizations. The fact that these participants performed the steps with cues (naming) during the arbitrary relationship training procedure suggests that naming was a vital precursor to performance in recalling tasks, contributing to the maintenance of performance, considering that they learned the relationship proposed and maintained their performance in the tests after being exposed to training, providing correct responses to almost 100% of the trials with delays, also in the maintenance and generalization tasks. Note that the participants reported using the same strategies in both training and testing with different delays. Data suggest some relevant points that should be further investigated in future studies, such as other maintenance measures after a more extended exposure period. Similar to generalization, other activities favoring engagement in the naming precurrent behavior should be presented.
The four participants with ASD (Agnes, Poly, Patrick, and Lucas) performed the training for identity and arbitrary relationships according to the procedure proposed. The results found here for the participants with ASD do not corroborate previous studies addressing participants with autism (Gomes & Souza, 2008; Varella & Souza, 2011; Cruz & Melo, 2018). Varella and Souza (2011) indicate that participants with autism learned identity relationships with at least two stimuli sets; however, some required additional procedures. Cruz and Melo (2018) reported that participants with autism, in general, learned the proposed identity relationships. However, some found the tasks challenging, especially in the typical matching configuration, suggesting that the task’s visual organization may interfere with control over the identity relationship.
On the other hand, the results with children with ASD replicate the results of previous studies employing visual memory tasks (i.e., tasks that require the participant to remember using nameable visual stimuli) with this population (Ameli et al., 1988; Barth et al., 1995; Williams et al., 2006; Salmanian et al., 2012) and contribute to findings regarding abstract stimuli. The participants in the studies by Ameli et al. (1988) and Salmanian et al. (2012) showed a high rate of correct responses in visual memory tasks. However, performance worsened when the participants were exposed to tasks with abstract stimuli.
As for additional procedures adopted according to the participant’s needs, the blocked procedure was implemented for Yuri (a young man with intellectual disability), but it was ineffective in establishing arbitrary relationships. Despite the positive results obtained in different studies using the blocked procedure (Saunders & Spradlin, 1989/1990; Teixeira, 2019; Varella & Souza, 2011), the literature has shown that the blocked procedure has disadvantages, such as an excessive number of trials to establish arbitrary relationships (Fisher et al., 2007; Varella, & Souza, 2011), in addition to the occurrence of errors in the first trials after alternation (Varella, & Souza, 2011; Melo et al. 2014), which may not favor learning for some individuals. Similar to some studies (Arntzen & Nartey, 2018; 2020), given the performance in the blocked procedure, participant Yuri (with previous experience in research with DMTS) was taught new highly nameable stimuli (cat, cow, and dog), as the sample, and abstract stimuli for comparisons. Additionally, he was explicitly asked to name the stimuli. Yuri met the learning criteria on this occasion, showing that naming (precurrent behavior) favors remembering (Catania, 1999).
An analysis of the report of the strategies used by participants suggests that presenting the strategy in PowerPoint enabled them to indicate/report their strategies, which allowed for identifying precurrent behaviors. Only Lucas readily reported his strategies; the others needed PowerPoint to identify the strategies adopted. Note that the participants’ reports were consistent with what they did during the procedure; both the participants who publicly engaged in this behavior and those who adopted precurrent behaviors during the DMTS teaching procedure, in which they were instructed to name the stimuli, indicated this strategy in their reporting.
On the other hand, using PowerPoint to help the participants identify their strategies may configure a limitation if the strategy is not represented in the presentation. Additionally, whether using the naming strategy in the training session as a precurrent behavior influenced a change in the participants’ strategies remains a question, i.e., whether the participants indicated this strategy because they were exposed to it during the training. Studies have investigated mediating behaviors in DMTS tasks by proposing talk-aloud protocols (Arntzen, 2006; Santos et al., 2015; Vie & Arntzen, 2017) and/or adopting different strategies such as implementing distracting behaviors to measure engagement in precurrent behaviors (Arntzen, 2006; Santos et al., 2015; Ciavarri, 2017; Vie & Arntzen, 2017). Although the strategy proposed in this study favored the identification of precurrent behaviors, future studies should investigate these variables and develop adequate resources to identify the strategies used during the DMTS procedure.
Another limitation of a study implemented online concerns the impossibility of the researcher to observe the participants’ behaviors. Even though not all participants publicly engaged in precurrent behaviors during tests with different delays, all the participants spontaneously commented about the stimuli and/or named them during the MTS tasks for identity and/or arbitrary relationships.
The application of assessment instruments was impossible in this study because data were collected during the COVID-19 pandemic. A questionnaire was developed and answered by the participant’s parents or guardians to characterize their repertoire. Future studies are suggested to assess the participants’ repertoires using standardized instruments to compare the performances obtained with behavioral characteristics (e.g., high and low functioning of the public with ASD).
Despite the limitations noted here, the fact that the experimental tasks could be systematically conducted online promoted advances in data collection technologies. Additionally, it enabled the participation of individuals from different locations. Finally, this study’s results replicate and contribute to the literature addressing the possibility of teaching precurrent behaviors and problem-solving to individuals with ASD or intellectual disabilities, provided that the planning of teaching conditions considers the individuals’ characteristics and specificities rather than the disabilities’ pre-established characteristics.










text in 














