Segundo relatório publicado pela Secretaria Nacional de Segurança Pública do Brasil (Brasil, 2022), os profissionais da segurança pública integram um grupo de risco ao desenvolvimento de psicopatologias. Estudos evidenciam que os transtornos depressivos se constituem como uma das principais psicopatologias em trabalhadores da segurança pública, atingindo de 9% a 39% destes profissionais (Castro et al., 2019; Sousa et al., 2022). Embora os dados epidemiológicos sejam consensuais quanto as adversidades que podem acometer esse grupo de trabalhadores, são poucos os estudos experimentais que tragam resultados consistentes com a população. Portanto, considerando a necessidade de promoção de saúde mental destes profissionais, esta pesquisa teve por objetivo avaliar a eficácia de um programa de intervenção de Psicoterapia Positiva para promoção do bem-estar subjetivo e psicológico, e redução de sintomas depressivos nessa categoria profissional.
Os transtornos depressivos possuem como principais sintomas: humor deprimido, sentimentos de solidão, desânimo, tristeza, irritabilidade (afetividade negativa), alterações no sono (insônia ou dormir em excesso) e perda de interesse nas atividades (American Psychiatric Association, 2022). A etiologia desses sintomas é multidimensional e complexa, uma vez que envolve componentes biológicos (e.g., sexo, hereditariedade e condições de saúde), psicológicos (e.g., personalidade e características pessoais positivas), e contextuais (e.g., família, trabalho, lazer e comunidade). O trabalho do profissional de segurança pública expõe a pessoa que ocupa a função a riscos psicossociais de natureza operacional (e.g., exposição constante à violência urbana, jornadas de trabalho extensas e irregulares; Talavera-Velasco et al., 2018) e organizacional (e.g., falta de perspectivas para ascensão profissional, deficiência nos treinamentos, presença de discriminação/favoritismo no ambiente de trabalho e baixa valorização; Santos et al., 2021). Diante disso, foi instituído o Programa Nacional de Qualidade de Vida para Profissionais de Segurança Pública (Pró-Vida), política pública brasileira que tem entre seus objetivos estimular e incentivar a elaboração, a execução e o monitoramento de ações nas áreas de valorização profissional, e promoção do bem-estar físico e mental dos trabalhadores que integram a segurança pública (Brasil, 2018).
A investigação científica do bem-estar dos indivíduos ganhou destaque com a Psicologia Positiva, enfatizando o estudo de características individuais e contextuais que contribuem para que as pessoas tenham uma vida mais feliz e saudável (Reppold et al., 2019). Nesse campo epistemológico, dois modelos teóricos se destacam: o bem-estar subjetivo (BES) e o bem-estar psicológico (BEP). O BES consiste nas avaliações globais que a pessoa faz acerca de sua vida, sobre o quanto percebe sua existência como prazerosa, constituindo-se por três componentes: satisfação com a vida (cognitivo), afetos positivos e negativos (emocionais) (Diener, 1984). A satisfação com a vida refere-se ao nível de contentamento que o sujeito percebe quando pensa sobre a sua vida. Os afetos positivos incluem alegria, entusiasmo, confiança, otimismo, autoeficácia, interpretações positivas das relações. Os afetos negativos relacionam-se às emoções como tristeza, solidão, irritação, mau humor e preocupação (Moore & Diener, 2019).
Já o BEP consiste no funcionamento psicológico ótimo ou positivo do indivíduo (Ryff, 2014). Seligman (2018) propôs o modelo PERMA de bem-estar psicológico, um acrônimo referente as cinco dimensões do BEP: Positive Emotions (emoções positivas), Engagement (engajamento), Relationships (relacionamentos), Meaning e purpose (sentido de vida) e Accomplishment (realização).
Este modelo está sustentado no pressuposto de que o bem-estar pode ser incrementado a partir do desenvolvimento de características positivas do indivíduo, em conjunto com as condições do ambiente, na busca de um funcionamento mais adaptativo diante das circunstâncias e adversidades.
Existem evidências que indicam correlações de moderadas à altas e de direção negativa entre o BES e BEP com os sintomas depressivos (Paveltchuk et al., 2019; Ryan et al., 2019). Numa pesquisa com 600 profissionais brasileiros de segurança pública, os fatores do BES e do BEP apresentaram correlações de moderadas a altas com os sintomas depressivos, e explicaram 62% dos sintomas depressivos (Martins et al., 2023). A variável mais correlacionada foram os afetos negativos, o qual consiste em um importante marcador diagnóstico dos transtornos depressivos, manifesto por meio de humor rebaixado, sentimentos de solidão, desânimo, tristeza, irritabilidade (American Psychological Association [APA] , 2022).
Rashid e Seligman (2011), desenvolveram a psicoterapia positiva (PP), a qual tem por objetivo promover o bem-estar subjetivo e psicológico, o engajamento e o sentido de vida das pessoas. A PP difere das demais abordagens psicológicas por estimular a percepção dos aspectos positivos, utilizando aquilo que o cliente faz de melhor como elemento protetivo de saúde mental, ao invés de incentivar o contato com os elementos disfuncionais da vida, ainda que esta não seja considerada como uma nova modalidade de psicoterapia, mas uma orientação da conduta terapêutica (Rashid, 2020). Os autores destacam que o programa não possui um padrão fixo, podendo ter versões adaptadas para atender as necessidades dos participantes.
Com o objetivo de testar os benefícios da PP, Taylor et al. (2017) realizaram um estudo longitudinal com 29 sujeitos, clinicamente diagnosticados com transtornos depressivos e/ou de ansiedade. A PP proposta pelos autores ocorreu em 10 encontros, com duração de uma hora, em que foram trabalhadas as temáticas do otimismo, da gratidão, das forças pessoais, dos afetos, entre outros temas. Ao comparar o desempenho dos participantes no pré-teste e pós-teste, observou-se redução significativa dos afetos negativos, e dos sintomas de ansiedade e de depressão. Carr et al. (2020) realizaram uma metanálise de 347 pesquisas que tiveram como foco investigar os efeitos da PP. Os dados totalizaram 72.000 participantes, entre adultos e crianças, oriundos de 41 países. Os resultados evidenciaram que as propostas de PP apresentaram efeitos que variaram de baixo a moderado para promoção do BES, do BEP e na redução dos sintomas depressivos, da ansiedade e do estresse (Carr et al., 2020). Desse modo, há evidências que indicam que a PP promove melhoria do BES e do BEP e redução de sintomas depressivos.
Martins (2020) elaborou um programa de intervenção em PP, fundamentado na Psicologia Positiva, com o intuito de promover as variáveis do BES e do BEP, e reduzir os sintomas depressivos de profissionais de segurança pública brasileira. A PP foi estruturada em 10 sessões, com duração de uma hora e meia cada sessão, e aborda as seguintes temáticas: forças de caráter, emoções, perdão, gratidão, experiências de satisfação, otimismo e esperança, relacionamentos positivos, e significado e propósito de vida. A escolha por tais construtos ocorreu por se caracterizarem como variáveis psicológicas tradicionalmente estudadas pela Psicologia Positiva e por promoverem o bem-estar e a saúde mental das pessoas, de acordo e modelo de PP incialmente proposto por Rashid e Seligman (2011) e a metanálise publicada por Carr et al. (2020). A descrição da intervenção contendo objetivo de cada encontro, as técnicas e materiais utilizados em cada sessão podem ser vistos na Tabela 1.
Tabela 1 Estrutura do Programa de Psicoterapia Positiva com Profissionais de Segurança Pública
| Temática | Objetivos | Técnica aplicada à temática | Materiais |
|---|---|---|---|
| Forças de Caráter e Forças de Assinaturas | Conhecer as suas forças de caráter, como as utiliza e como elas o ajudaram no passado. | Reconhecimento das forças de caráter e as forças de assinatura |
Escala Forças de Caráter (Noronha & Martins, 2016) Formulário: Marcadores das suas forças Formulário: Subutilização e sobreutilização das forças. |
| Emoções negativas: amargura e raiva | Discutir sobre a função das boas e más lembranças na manutenção da depressão. Demonstrar que o apego à raiva e à amargura mantém a depressão e influencia o bem-estar. | Avaliação Positiva |
Formulário Avaliação Positiva Papel sulfite Caneta |
| Gratidão | Ampliar o conceito de gratidão para o participante, demonstrar o quanto que reconhecer e expressar comportamentos de gratidão pode ampliar o bem-estar. |
Carta da Gratidão Três coisas boas |
Formulário Carta da gratidão Papel sulfite Caneta |
| Maximização ou satisfação | Discutir sobre o investimento no que é suficientemente bom (satisficers). |
Perfil de maximizador ou satisficers? Dez formas de aumentar a satisfação |
Questionário de avaliação do perfil Formulário: Dez formas de aumentar a satisfação |
| Otimismo e esperança | Estimular a busca por resultados mais realistas. Além disso, aprender que os desafios podem ser temporários e a desenvolver um sentimento de esperança. | Portas que se abrem |
Formulário Portas que se abrem Papel sulfite Caneta |
| Relacionamentos positivos | Reconhecer as forças de caráter dos seus familiares e demonstrar que foi onde as suas forças tiveram origem. | Árvore das relações positivas |
Formulário Árvore das relações positivas Papel sulfite Caneta |
| Crescimento Pós-Traumático | Incentivar os participantes a explorar seus sentimentos e pensamentos mais profundos sobre uma experiência traumática que continua a incomodálos. Além de oferecer a possibilidade de desenvolver estratégias para ressignificar esta experiência. | Escrita Expressiva |
Formulário Escrita Expressiva Papel sulfite Caneta |
| Significado e propósito de vida | Refletir sobre o empenho para uma vida plena, que integra as emoções positivas, engajamento e sentido de vida. |
Recordando a sua história e visualizando um objetivo futuro Legado positivo |
Formulário Recordando a sua história Formulário Legado positivo Caneta |
Considerado a importância de uma prática baseada em evidências, este estudo teve como objetivo investigar a eficácia de um programa de intervenção em PP no aumento dos componentes do BES e do BEP, e na redução de sintomas depressivos de profissionais da segurança pública. As hipóteses de pesquisa consistem em aumento nos níveis de BES (hl), de BEP (h2) e redução dos sintomas depressivos (h3) nos participantes do grupo experimental quando comparado ao grupo controle. Além disso, será investigada a percepção dos participantes acerca dos benefícios da PP à saúde mental. Espera-se que os profissionais percebam que a intervenção ocasionou melhoras à saúde mental (h4).
Método
Participantes
Os dados apresentados neste estudo fazem parte de um projeto intitulado “Bem-estar Subjetivo e Bem-estar Psicológico: avaliação e intervenção em profissionais da segurança pública”. Na primeira etapa (pré-teste), participaram 600 profissionais de segurança pública, que responderam a medidas que avaliam componentes do BES, do BEP e sintomas depressivos. Para compor o estudo de intervenção, os critérios de inclusão da amostra foram: 1. ser profissional da segurança pública; 2. ter participado do Estudo 1 (pré-teste) respondendo aos instrumentos; 3. apresentar sintomas depressivos nos 15 dias anteriores à coleta dos dados da etapa de pré-teste – informação obtida mediante os critérios de correção e interpretação da Escala Baptista de Depressão (Baptista, 2012). Como critério de exclusão, ter participado de algum tipo de acompanhamento ou intervenção psicológica. Assim, dentre os 600 que participaram do pré-teste, 66 atendiam aos critérios de inclusão. Dentre esses, 5 atendiam ao critério de exclusão e outros 25 não aceitaram participar da intervenção. Dos 36 participantes restantes, de modo randomizado, 18 foram designados para o grupo experimental (GE) e 18 para o grupo controle (GC). O GE teve perca amostral de 10 participantes, os quais faltaram 3 ou mais sessões do programa de intervenção. Já no GC apenas 8 participantes completaram as medidas de pós-teste e follow-up.
Assim, os dados analisados na presente pesquisa são de 16 participantes, 8 do GE e 8 GC. O GE foi composto por três pessoas do sexo feminino e cinco do masculino, com média de idade de 38,25 anos (DP=2,38) e tempo médio de serviço de 12 anos (DP=2,33). Dentre esses, dois participantes possuíam diagnóstico psiquiátrico e um fazia uso de medicação psicotrópica (n = 1). O GC contou com a participação de 6 profissionais do sexo masculino e 2 do sexo feminino, com média de idade igual 39,50 (DP=7,32) e tempo médio de serviço igual 12,50 anos (DP=3,74). A descrição das características dos participantes que compuseram o GE e GC podem ser vistos na Tabela 2.
Tabela 2 Descrição dos Participantes, Pontuação e Classificação Segundo Normas da EBADEP
| Grupo | Sexo | Idade | Tempo de serviço | Pontuação na EBADEP | Classificação |
|---|---|---|---|---|---|
| controle | feminino | 40 | 16 | 67 | leve |
| controle | masculino | 41 | 13 | 80 | moderada |
| controle | masculino | 33 | 11 | 64 | leve |
| controle | masculino | 51 | 16 | 70 | leve |
| controle | masculino | 47 | 14 | 88 | moderada |
| controle | feminino | 34 | 10 | 11 | leve |
| controle | masculino | 41 | 15 | 35 | leve |
| controle | masculino | 29 | 5 | 18 | leve |
| experimental | feminino | 35 | 9 | 67 | leve |
| experimental | masculino | 39 | 15 | 76 | leve |
| experimental | masculino | 36 | 10 | 78 | moderada |
| experimental | feminino | 39 | 13 | 60 | leve |
| experimental | feminino | 42 | 13 | 59 | leve |
| experimental | masculino | 36 | 13 | 59 | leve |
| experimental | feminino | 40 | 14 | 2 | leve |
| experimental | masculino | 39 | 9 | 26 | leve |
Instrumentos
Questionário sociodemográfico. Elaborado pelos autores com o objetivo coletar informações sociode-mográficas da amostra pesquisada. A saber: idade, sexo, estado civil, escolaridade, renda mensal, tempo de serviço, cargo e dados sobre a saúde física e mental.
Escala de Satisfação de Vida (ESV; Zanon et al., 2014). Instrumento de autorrelato que tem por objetivo avaliar a satisfação das pessoas com as suas vidas. Possui cinco itens respondidos em uma escala tipo Likert de sete pontos, variando de 1 (discordo plenamente) a 7 (concordo plenamente). São exemplos de itens: “As condições de minha vida são excelentes”; “Estou satisfeito com a minha vida”; “Na maioria dos aspectos, minha vida está próxima do meu ideal”. Nesta pesquisa a estimativa de precisão da ESV foi de α=0,80.
Escala de Afetos Positivos e Afetos Negativos (EA; Zanon et al., 2013). Instrumento de autorrelato que tem por objetivo avaliar como as pessoas se sentem em relação as suas vidas. Contém 20 itens distribuídos em dois fatores: afetos positivos e afetos negativos. Possui chave de resposta em escala Likert, variando de 1 (discordo plenamente) a 5 (concordo plenamente). São exemplos de itens: “Muitas vezes eu fico nervoso”; “Me sinto confiante no dia a dia”; “Sou corajoso”. As estimativas de precisão nesta pesquisa foram de α=0,88 e α=0,91, para afetos positivos e negativos, respectivamente.
Questionário de Sentido de Vida (QSV; Damásio & Koller, 2015). Instrumento de autorrelato que objetiva avaliar o sentido de vida por meio de dois fatores: presença de sentido e busca de sentido. É composta por 10 itens e está organizada em uma escala do tipo Likert de respostas de sete pontos, variando de 1 (totalmente falsa) a 7 (totalmente verdadeira). São exemplos de itens: “Eu entendo o sentido da minha vida”; “Minha vida tem um propósito claro”; “Eu encontrei um propósito de vida satisfatório”. As estimativas de precisão nesta pesquisa foram de α=84 para ambos os fatores – presença de sentido e busca de sentido.
Escala Utrecht de Engajamento no Trabalho (UWES; Vazquez, et al., 2015). Objetiva avaliar o engajamento no trabalho, sendo que apresenta um fator geral (α=0,95) e três dimensões, sendo elas: vigor (α=0,84), dedicação (α=0,89) e concentração (α=0,78). As estimativas de precisão apresentadas referem-se aos dados desta pesquisa. A UWES é composta por 17 itens respondidos em uma escala do tipo Likert de sete pontos, variando de 0 (nunca) a 6 (sempre). São exemplos de itens: “No meu trabalho, sinto que estou cheio de energia”; “Eu considero meu trabalho cheio de significado e propósito”; “O tempo voa enquanto estou trabalho”.
Escala de Suporte Social Percebido (ESSP; Bastianello & Hutz, 2016). Instrumento de autorrelato que tem por objetivo de avaliar a percepção do indivíduo quanto a sua experiência de oferecer e receber suporte social. Está organizada em quatro fatores: dar suporte social emocional, dar suporte social instrumental, receber suporte social emocional e receber suporte social. É composta por 20 itens respondidos em uma escala do tipo Likert de seis pontos, variando de 0 (nunca se aplica) a 5 (sempre se aplica). São exemplos de itens: “Existe pelo menos uma pessoa em quem sinto que posso confiar”; “Quando eu estou me sentindo para baixo, existe alguém com quem posso contar”; “Eu procuro animar as pessoas quando elas estão se sentindo para baixo”. As estimativas de precisão variaram de α=0,74 a α=0,90 nesta pesquisa.
Itens de Realização (Martins, 2020). Instrumento em formato de autorrelato para avaliar o componente de realização do bem-estar psicológico. Foram criados três itens, com chave de resposta em escala Likert, variando de 1 (nem um pouco) a 5 (extremamente). São exemplos de itens: “Faço as tarefas que programo no início da semana”; “consigo realizar as metas que estabeleço para mim” e “sou perseverante para estabelecer meus objetivos pessoais, mesmo quando tenho adversidades”. A estimativa de precisão nesta pesquisa foi de α=0,71.
Escala Baptista de Depressão (EBADEP-A; Baptista, 2012). Instrumento de autorrelato que tem por objetivo avaliar a presença de sintomas depressivos e a sua intensidade nos últimos 15 dias que antecedem a aplicação da escala. Trata-se de uma escala unidimensional, composta por 45 itens contendo frases opostas em cada item que devem ser graduadas em uma escala tipo Likert de quatro pontos variando de 0 a 3. A estimativa de precisão nesta pesquisa foi de α=0,97. Não foram trazidos exemplos de itens para este instrumento pois a escala é comercializada e protegida pelos direitos autorais.
Formulário de Avaliação do Programa de Intervenção. Instrumento elaborado pelos autores com o objetivo de identificar as perceções dos participantes quanto aos benefícios da PP. O formulário continha quatro perguntas: “Você considera que este programa melhorou o seu bem-estar psicológico?”; “Acredita que te ajudará a desempenhar melhor a sua função na segurança pública?”; “O quanto o programa te motivou a investir mais na sua saúde mental?”; “O quanto o programa te motivou a buscar acompanhamento psicológico quando necessário?”. As perguntas possuíam chave de resposta em escala Likert, variando de 1 (nenhum pouco) a 5 (extremamente).
Procedimento
As instituições foram contatadas para agendamento da coleta de dados. O projeto foi submetido ao Comitê de Ética em Pesquisa, aprovado sob o número de CAAE 97954818.0.0000.5514. Os participantes assinaram o Termo de Consentimento Livre e Esclarecido, estando cientes dos objetivos da pesquisa, bem como autorizando a utilização dos resultados em publicações científicas. Para composição do GE e GC, os participantes foram pareados de acordo com as normas interpretativas da Escala Baptista de Depressão para adultos (EBADEP; Baptista, 2012), com sintomas depressivos variando de leve a moderado.
A aplicação dos instrumentos nas etapas de pré-teste, pós-teste (1 semana) e pós-teste (1 mês) ocorreu presencialmente nos batalhões, delegacias e quartéis, no período de agosto de 2018 a setembro de 2019, com a seguinte ordem de aplicação: questionário sociodemográfico, ESV (Zanon et al., 2014), EA (Zanon, et al., 2013), QSV (Damásio & Koller, 2015), UWES (Vazquez, et al., 2015), ESSP (Bastianello & Hutz, 2016), itens de Realização (Martins, 2020) e EBADEP-A (Baptista, 2012). A aplicação do programa de PP foi realizada coletivamente, com grupos de 3 a 5 participantes, nas respectivas instituições dos participantes. As atividades foram conduzidas pela primeira autora desta pesquisa, com auxílio de uma estagiária do curso de Psicologia. Cabe destacar que aplicação pré-teste e pós-teste dos instrumentos não compuseram os 10 encontros de aplicação da intervenção, de modo que foram adicionais.
Análise de dados
Foi utilizada estatística descritiva para caracterização do grupo controle e experimental em cada um dos momentos de coleta de dados: pré-teste, pós-teste (uma semana) e pós-teste (um mês). Foi calculada a estimativa de precisão dos instrumentos por meio do coeficiente alfa de Cronbach, em que valores iguais ou superiores a 0,70 indicam que a medida apresenta adequada confiabilidade (Souza et al., 2017). Foi utilizado o teste Shapiro-Wilk, que indicou que os dados não apresentavam distribuição normal (p<0,05). Assim, foi utilizado o teste de medidas repetidas de Friedman para análise do desempenho dos participantes considerando a variável tempo (condições pré-teste, pós-teste, follow-up de 1 mês) e condição experimental (GE e GC). Foi utilizado o coeficiente ômega quadrado (ω2) para cálculo do tamanho de efeito, em que valores inferiores a 0,20 são considerados pequenos; valores iguais a 0,20 e inferiores a 0,80 são considerados médios; e valores superiores a 0,80 são considerados grandes (Cohen, 1988). Utilizou-se estatística descritiva para frequência das respostas ao formulário de avaliação da intervenção, com teste do Qui-Quadrado (χ2) para diferenças nas categorias de resposta. As análises foram realizadas no software JAMOVI, versão 2.3.26.
Resultados
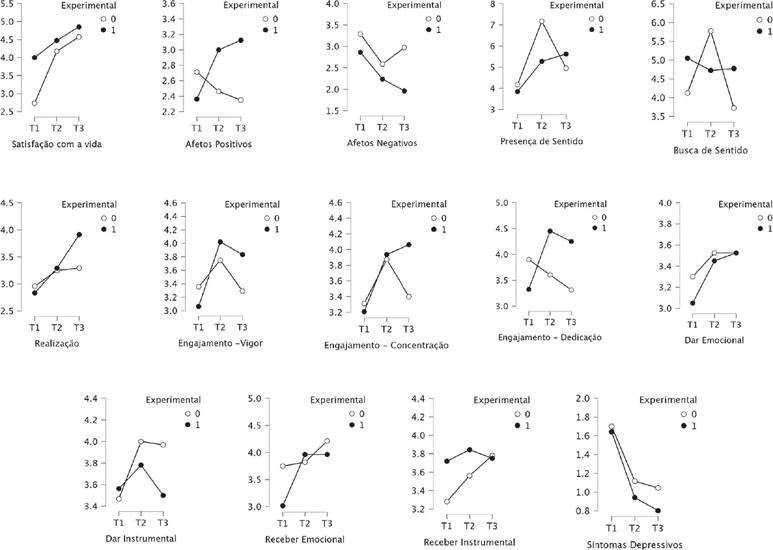
Ao observar a Tabela 3 e a Figura 1, o GE apresentou aumento em Satisfação com a vida e Afetos Positivos (BES); Presença de Sentido e Realização (BEP). Foi observado aumento do Vigor, Concentração, Dedicação (Engajamento no Trabalho); bem como em Dar Suporte Social Emocional e Receber Suporte Social Emocional. Houve redução dos Afetos Negativos e Dar Suporte Social Instrumental. Quanto ao GC, foi observado aumento de Satisfação com a Vida (BES), Realização (BEP), Dar Suporte Social Instrumental, Receber Suporte Social Emocional e Receber Suporte Social Instrumental; e redução nos Afetos Positivos (BES), e em Vigor e Dedicação (Engajamento no Trabalho). Foi observado aumento das médias de Presença e Busca de Sentido no pós-teste, e redução dessas variáveis após um mês (follow-up). De modo similar, observou-se redução (T1), seguido por aumento (T2) de afetividade negativa.
Tabela 3 Média e Desvio-Padrão dos Grupos nas Etapas de Realização do Estudo
| Variável | Pré-teste | Pós-Teste (1 semana) | Pós-Teste (1 mês) | |||
|---|---|---|---|---|---|---|
| Controle | Experimental | Controle | Experimental | Controle | Experimental | |
| Satisfação com a Vida | 2,73 (0,18) | 4,00 (1,06) | 4,18 (1,68) | 4,48 (1,25) | 4,58 (1,56) | 4,85 (0,72) |
| Afetos Positivos | 2,71(0,52) | 2,36 (0,52) | 2,46 (0,91) | 3,00 (0,82) | 2,35 (0,89) | 3,13 (0,74) |
| Afetos Negativos | 3,29 (0,71) | 2,86 (1,06) | 2,59 (0,86) | 2,28 (0,59) | 2,98 (0,86) | 1,96 (0,66) |
| Presença de Sentido | 4,18(0,76) | 3,85 (1,66) | 7,18 (7,70) | 5,28 (0,49) | 4,95 (1,43) | 5,66 (0,81) |
| Busca de Sentido | 4,13(1,50) | 5,05 (1,63) | 5,78 (4,83) | 4,73 (1,80) | 3,73 (2,02) | 4,78 (1,83) |
| Realização | 2,96 (0,65) | 2,83 (1,22) | 3,25 (0,85) | 3,29 (0,52) | 3,29 (0,90) | 3,91 (0,54) |
| Vigor | 3,35 (0,89) | 3,06 (0,66) | 3.75 (0,80) | 4,02 (0,75) | 3,29 (1,35) | 3,83(1,01) |
| Concentração | 3,31(1,21) | 3,21 (0,95) | 3,88 (0,93) | 3,94 (1,24) | 3,40 (1,37) | 4,06 (1,20) |
| Dedicação | 3,90 (1,50) | 3,33 (0,91) | 3,60 (1,50) | 4,45 (1,10) | 3,31 (1,72) | 4,25 (1,19) |
| Dar Emocional | 3,30 (0,87) | 3,05 (1,46) | 3,53 (0,76) | 3,45 (1,06) | 3,53 (0,65) | 3,56 (0,78) |
| Dar Instrumental | 3,47(0,78) | 3,56 (1,01) | 4,00 (0,76) | 3,78 (0,80) | 3,97 (0,76) | 3,50 (0,84) |
| Receber Emocional | 3,75 (0,83) | 3,02 (1,15) | 3,82 (0,91) | 3,96 (0,72) | 4,21 (0,80) | 3,96 (0,96) |
| Receber Instrumental | 3,28 (1,15) | 3,72 (1,10) | 3,56 (0,98) | 3,84 (1,09) | 3,78 (0,99) | 3,75 (1,23) |
| Sintomas depressivos | 1,70 (0,23) | 1,64 (0,32) | 1,12 (0,67) | 0,94 (0,36) | 1,04 (0,81) | 0,80 (0,26) |

Legenda. 0=grupo controle de profissionais de segurança pública; l=grupo experimental de profissionais de segurança pública; Tl=medidas pré-teste; T2=medidas pós-teste 1 semana; T3=medidas pós-teste 1 mês
Figura 1 Médias dos Grupos em cada Período
A Tabela 4 apresenta as diferenças nos escores dos participantes ao considerar o tempo (1ª linha) e a condição experimental (2ª linha). Ao considerar o tempo, foi identificado diferenças estatisticamente significativas, em que os participantes do GE apresentaram aumento na Satisfação com a Vida, na Realização, no Receber Emocional e redução de Sintomas Depressivos, com tamanho de efeitos considerados pequenos. Satisfação com a vida (ω2=0,17) e Sintomas Depressivos (ω2=0,14) foram as variáveis em que se observou maior tamanho de efeito. Ao considerar a condição experimental, observou-se aumento dos afetos positivos no GE e diminuição no GC, com pequeno tamanho de efeito (ω2=0,09).
Tabela 4 Análise de Friedman para as Variáveis Tempo e Condição Experimental
| Variáveis | Soma dos quadrados | gl | Médias dos Quadrados | χ2 | p | ω2 |
|---|---|---|---|---|---|---|
| Satisfação com a vida * Tempo | 15,37 | 2,00 | 7,69 | 8,99 | <0,001 | 0,17 |
| Satisfação com a vida * Experimento | 2,56 | 2,00 | 1,28 | 1,5 | 0,24 | 0,01 |
| Afetos Positivos * Tempo | 0,41 | 2,00 | 0,21 | 0,61 | 0,55 | 0,00 |
| Afetos Positivos * Experimento | 2,81 | 2,00 | 1,41 | 4,17 | 0,03 | 0,09 |
| Afetos Negativos * Tempo | 4.32 | 2,00 | 2,16 | 5,32 | 0,01 | 0,03 |
| Afetos Negativos * Experimento | 1,05 | 2,00 | 0,53 | 1,3 | 0,29 | 0,01 |
| Presença de Sentido * Tempo | 39,47 | 1,11 | 35,54 | 1,81 | 0,20 | 0,03 |
| Presença de Sentido * Experimento | 13,48 | 1,11 | 12,14 | 0,62 | 0,46 | 0.03 |
| Busca de Sentido * Tempo | 8,28 | 1,22 | 6,8 | 1,03 | 0,34 | 0,04 |
| Busca de Sentido * Experimento | 11,1 | 1,22 | 9,11 | 1,38 | 0,26 | 0,01 |
| Realização * Tempo | 3,99 | 1,54 | 2,59 | 4,35 | 0,03 | 0,00 |
| Realização * Experimento | 1,23 | 1,54 | 0,8 | 1,34 | 0,28 | 0,01 |
| Vigor * Tempo | 3,67 | 1,36 | 2,7 | 3,14 | 0,08 | 0,00 |
| Vigor * Experimento | 1,45 | 1,36 | 1,06 | 1,24 | 0,30 | 0,01 |
| Concentração * Tempo | 3,57 | 1,56 | 2,28 | 1,56 | 0,23 | 0,00 |
| Concentração * Experimento | 1,3 | 1,56 | 0,83 | 0,57 | 0,53 | 0,00 |
| Engajamento – Dedicação * Tempo | 1,39 | 1,33 | 1,05 | 0,7 | 0,45 | 0,00 |
| Engajamento – Dedicação * Experimento | 5,75 | 1,33 | 4,34 | 2,89 | 0,10 | 0,05 |
| Dar Emocional * Tempo | 1,18 | 2,00 | 0,59 | 1,56 | 0,23 | 0,00 |
| Dar Emocional * Experimento | 0,13 | 2,00 | 0,07 | 0,17 | 0,84 | 0,00 |
| Dar Instrumental * Tempo | 1,14 | 1,92 | 0,59 | 1,51 | 0,24 | 0,02 |
| Dar Instrumental * Experimento | 0,64 | 1,92 | 0,33 | 0,84 | 0,44 | 0,00 |
| Receber Emocional * Tempo | 4,24 | 1,31 | 3,23 | 7,10 | 0,01 | 0,01 |
| Receber Emocional * Experimento | 1,54 | 1,31 | 1,17 | 2,57 | 0,12 | 0,03 |
| Receber Instrumental * Tempo | 0,68 | 1,31 | 0,47 | 0,68 | 0,46 | 0,00 |
| Receber Instrumental * Experimento | 0,46 | 1,31 | 0,35 | 0,5 | 0,54 | 0,00 |
| Sintomas Depressivos * Tempo | 5,23 | 1,41 | 3,72 | 21,35 | <0,001 | 0,14 |
| Sintomas Depressivos * Experimento | 0,07 | 1,41 | 0,05 | 0,28 | 0,68 | 0,00 |
Legenda. gl=graus de liberdade; χ2=Qui-quadrado; p=valor de p; ω2=coeficiente ômega quadrado
Ao avaliar a perceção dos participantes acerca dos benefícios da intervenção para o bem-estar, 87,5% responderam ‘extremamente’ (50%; n=4; p=0,011), e 37,5% (n=3; p = 0,011) responderam ‘bastante’ à pergunta: “Você considera que este programa melhorou o seu bem-estar?”. Em relação à contribuição do programa para ajudá-lo a desempenhar melhor a sua função na segurança pública (Item 2 – Acredita que te ajudará a desempenhar melhor a sua função na segurança pública?), foi verificado que todos os participantes avaliaram que percebem que o programa ajudará extremamente (62,5%, n=5; p = 0,011) e bastante (25%, n=2; p = 0,011). Nos itens 3 (O quanto o programa te motivou a investir mais na sua saúde mental?) e 4 (O quanto o programa motivou a buscar acompanhamento psicológico, quando necessário?) foram identificados resultados que sugerem que os participantes avaliaram que o programa contribuiu para motivá-los na busca de mais investimento na saúde mental, além de buscar um acompanhamento psicológico quando necessário. Os resultados indicaram que os participantes identificaram que contribuiu extremamente (62,5%, n=5; p=0,007) e bastante (37,5%, n=3; p=0,007).
Discussão
Esta pesquisa investigou a eficácia de um programa de PP (Martins, 2020) na promoção dos componentes do BES (h1), do BEP (h2), e na redução de sintomas depressivos (h3). Além disso, era esperado os profissionais da segurança percebessem que a intervenção ocasionou melhora à saúde mental (h4). Os resultados indicaram que a intervenção foi eficaz para melhora dos Afetos Positivos – componente do BES e do BEP – nos profissionais de segurança pública, corroborando parcialmente h1 e h2. A h3 foi refutada, pois ainda que tenha sido observada diferenças estatisticamente significativas entre os grupos, a redução dos sintomas depressivos não pode ser atribuída ao programa de intervenção. Os afetos positivos consistem em uma percepção emocional do quão prazerosa é a vida, e depende da intensidade (magnitude) e frequência da vivência de emoções positivas, perceben-do-se como pessoas alegres, confiantes, entusiasmadas, otimistas (Diener, 1984; Seligman, 2018). Desse modo, o conjunto técnicas e atividades propostas estimularam os profissionais de segurança pública a perceber aspectos saudáveis a respeito de si e do outro, promovendo uma percepção mais positiva acerca da vida.
Modelos recentes de saúde mental (Wang et al., 2011) indicam a presença de um componente psicopatológico – captando principalmente comportamentos relativos aos afetos deprimidos, sintomas característicos dos transtornos depressivos e de outros transtornos afetivos (APA, 2022) – e um outro componente ortogonal, interpretado como afetos positivos, felicidade (Wang et al., 2011). Por exemplo, pessoas com quadros clínicos depressivos apresentam alta afetividade negativa e baixa afetividade positiva, a terapêutica nessas situações devem fomentar a emotividade positiva (Vanderlind et al., 2022). Resultados de um estudo clínico randomizado com pacientes depressivos indicaram que intervenções em terapia cognitiva comportamental com foco nos afetos positivos apresentaram maiores efeitos na redução dos sintomas depressivos, do que as estratégias tradicionais com foco nos afetos negativos (Craske et al., 2019). Assim, a intervenção em psicoterapia positiva proposta, mostra-se promissora para promoção de afetos em profissionais de segurança pública, no entanto, considerando o baixo tamanho de efeito, os dados devem ser interpretados com parcimônia.
Quanto à ineficácia da intervenção para as demais variáveis, há um debate profícuo acerca da eficácia das intervenções em PP. Geerling et al. (2020) conduziram uma revisão sistemática (RS) com metanálise para avaliar a efetividade da PP para pacientes com doenças mentais graves (e.g., esquizofrenia, transtorno bipolar, transtorno depressivo maior). Os resultados indicaram que não houve efeitos significativos nem na redução dos sintomas clinico, nem no aumento do bem-estar. Os autores discutem que, embora não haja evidências sobre a efetividade dessas intervenções, quando comparadas a outros métodos de tratamento de doenças mentais graves, os pacientes se beneficiam destas ações terapêuticas. Essa afirmação é corroborada pelos dados relativos à percepção subjetiva dos participantes, que consideraram que a intervenção melhorou o bem-estar. Desta forma, não se pode descartá-las e deve-se considerar a ampliação de pesquisas para se obter evidências.
Geerling et al. (2020) e Carr (2020), estabelecem como dificuldade para área a falta de modelos interventivos padronizados quanto a estrutura, o que dificulta a replicabilidade e o acúmulo de evidências cientificas. Outro ponto a considerar é que a maior parte das intervenções da ciência psicológica atuam ao nivel individual. Há ainda que se pensar nos fatores contextuais, e no caso de profissionais de segurança pública, em mudanças nos fatores operacionais e organizacionais, apontados como os de maior risco psicossocial (Santos et al., 2021; Talavera-Velasco et al., 2018) e para o desenvolvimento de depressão (Syed et al., 2020). Assim, considerando a natureza multidimensional e subjetiva do bem-estar e da depressão, ações interventivas devem ser realizadas não apenas no grupal, como também no individual e no trabalho. Além disso, deve-se pensar em uma estratégia interventiva continua e que inclua Estado, Mercado e Sociedade Civil (Reppold et al., 2019).
Outra variável a se considerar é o viés de desejabilidade social. Alguns participantes apresentaram desconforto por estarem participando de um trabalho psicológico na instituição na qual trabalham, além de que as salas cedidas para aplicação da intervenção eram utilizadas pelo serviço de saúde mental, estigmatizado como o lugar que se vai quando se quer obter ajuda psicológica e/ou psiquiátricas, ocasionando receio nos participantes de que colegas de trabalho os vissem no local, dado que vai ao encontro do imaginário social do profissional de segurança pública como “heróis”. Alcapadini da Silveira e Medeiros (2016) realizaram uma pesquisa com 305 policiais acerca dos significados que esses profissionais atribuem a sua profissão. Entre as categorias de análise que surgiram, os policiais se veem como “herói”, protetor da população, combatente do crime, defensor dos desfavorecidos. Assim, reconhecer-se ou ser percebido pelos demais como alguém que precisa de algum auxilio, torna-se dificil de lidar.
O presente estudo encontrou evidências preliminares de eficácia de uma intervenção para a melhoria de afetos positivos, importante indicador de saúde mental, em uma amostra de profissionais de segurança pública. Dentre as limitações deste estudo destaca-se a realização da intervenção no ambiente de trabalho dos participantes, aumentando o viés de desejabilidade social; a falta de um instrumento de bem-estar com base no modelo PERMA quando a pesquisa foi realizada; o tamanho da amostra dos grupos experimental e controle, a baixa adesão dos participantes na pesquisa e a heterogeneidade da amostra com três carreiras distintas, porém em comum o contexto da segurança pública. Como direcionamento de pesquisa futura, recomenda-se a utilização de medidas com controle de viés de resposta, uma vez que os construtos investigados sofrem grande influência da desejabilidade social, e a inserção de medidas contextualizadas ao ambiente do trabalho, uma vez que os recursos desse ambiente são percebidos como os maiores estressores por esses profissionais.













