Introducción
El proceso de enseñanza y aprendizaje de la lectura es un aspecto clave en la trayectoria escolar de niños, niñas y adolescentes. Esto se debe a que las habilidades lectoras y de comprensión de texto son fundamentales para hacerse de nuevos saberes y necesarias para poder abordar los textos cada vez más extensos y complejos que los alumnos y las alumnas deben enfrentar a medida que avanzan en su escolarización (Álvarez-Cañizo et al., 2020a; Clemens et. al, 2020; Martín-Ruiz & González-Valenzuela, 2022; Oslund et. al, 2017; Sait et. al, 2016).
Durante los primeros grados del nivel primario el proceso de enseñanza y de aprendizaje de la lectura debe enfocarse en el desarrollo de las habilidades de decodificación para que los y las estudiantes paulatinamente puedan automatizar sus procesos lectores. Sin embargo, para poder concentrarse en la elaboración del significado de los textos, para completar y resolver las actividades que requieren leer para aprender y, también, para disfrutar de la lectura como actividad recreativa, no es suficiente que los alumnos y las alumnas logren decodificar y leer sin errores como sucede en los primeros grados del nivel primario. Al finalizar el nivel primario y ya en el nivel secundario, se espera que los y las estudiantes sean lectores eficientes y activos y puedan leer de manera autónoma y aprender a partir de los textos. Para esto, es fundamental que a medida que los y las estudiantes avanzan en su recorrido escolar, puedan leer con fluidez.
Sin embargo, como queda de manifiesto en los resultados de distintas pruebas internacionales (National Center for Education Statistics, 2019; OECD, 2018) y nacionales (Ministerio de Educación, Cultura, Ciencia y Tecnología, 2019; Ministerio de Educación de la Nación, 2020, 2022; Ministerio de Educación y Deportes, 2017, 2018), muchos estudiantes de los últimos grados de nivel primario e incluso al finalizar el nivel secundario muestran dificultades para comprender textos escritos (Ferguson, 2020; Schleicher, 2018). En Argentina, los datos relevados por las pruebas Aprender entre 2016 y 2021 señalan que entre un 38.2% y 46.4% de los estudiantes del último año de nivel secundario y entre un 33.2% y un 44% de 6.to grado de nivel primario tienen un rendimiento que se ubica en el nivel básico o por debajo del nivel básico1 en tareas que miden la comprensión lectora.
Los resultados nacionales e internacionales ponen de manifiesto la necesidad de que se comprendan en profundidad los procesos involucrados en la lectura, y que los y las docentes puedan enfocarse en trabajarlos para que los y las estudiantes puedan tempranamente comprender textos escritos y aprender a partir de lo que leen. Esto hace que la evaluación de las distintas habilidades implicadas en el procesamiento lector, la fluidez para leer y la comprensión de textos en adolescentes sean un foco de interés para la investigación y la práctica educativa y clínica.
Leer para aprender: la fluidez lectora es el camino
Las investigaciones sobre lectura y comprensión de texto, a partir de las evidencias brindadas por el National Reading Panel [NRP] (2000), comenzaron a poner el foco en distintas habilidades implicadas en el proceso de aprendizaje de la lectura, entre ellas, la fluidez lectora. En los trabajos que abordan esta temática, cada vez más relevante, su definición se ha ido complejizando.
La fluidez lectora, que se valora fundamentalmente a partir de la lectura en voz alta, se puede definir como una lectura de palabras rápida, sin errores y con la entonación adecuada que, como resultado, habilita la comprensión de textos (Hudson et al., 2020; Cuadro et al., 2021; Álvarez-Cañizo et al., 2020a).
En cuanto a los componentes implicados, la fluidez involucra la habilidad para leer palabras con precisión y sin esfuerzo, pero también está asociada con los aspectos prosódicos de la lectura en voz alta, es decir, a leer con la entonación adecuada y realizando una segmentación de las frases que componen el texto que dé cuenta del significado que este transmite.
Pensar la fluidez lectora en términos de precisión y velocidad para leer está en línea con las teorías sobre la automatización (LaBerge & Samuels, 1974) que plantean que la fluidez y la comprensión de textos se consolidarán una vez que los lectores y las lectoras logren automatizar los procesos básicos de decodificación y reconocimiento léxico (Hudson et al., 2005; Hudson et al., 2008; Hudson et al., 2020; NRP, 2000; Gómez et al., 2011; Zimmerman et al., 2019).
Tradicionalmente la automatización de los procesos lectores se mide a partir de lo que se conoce como tasa de lectura, es decir, la cantidad de palabras leídas sin errores en un minuto (Brysbaert, 2019; Rayner et al., 2016), y existen numerosos trabajos que dan cuenta de la relación entre velocidad y precisión (Bolaños et al., 2013; Dowd & Bartlett, 2019; Fuchs et al., 2001; Landerl & Wimmer, 2008; Recio-Pineda, 2019; Valencia et al., 2010).
A pesar de que una lectura rápida, precisa y sin esfuerzo podría plantearse como una condición necesaria para el desarrollo de la fluidez para leer y la comprensión lectora, no siempre leer con velocidad tiene como correlato una lectura comprensiva. Esto se debe a que muchas veces la lectura rápida y precisa se vuelve el objetivo de la tarea y esto interfiere en la comprensión de los textos (Fumagalli et al., 2018; Silva-Maceda & Romero-Contreras, 2017). Por otra parte, algunas investigaciones señalan que muchos y muchas estudiantes que muestran un rendimiento en la lectura de palabras aisladas acorde a su nivel de escolarización, no logran comprender textos de manera adecuada (Kanniainen et al., 2019; Lesaux & Kieffer, 2010).
En este sentido, Rasinski (2010) señala que la expresividad para leer es un aspecto fundamental de la fluidez lectora y retoma la metáfora de Pikulski y Chard (2005) que proponen a la fluidez como un puente entre la decodificación y la comprensión lectora, y explican que este puente funcionaría en dos tramos. El primero configura los cimientos necesarios para ser un lector eficiente y se tiende entre los procesos de decodificación, es decir, los mecanismos de recodificación fonológica, y el acceso léxico automático, a partir de la eficacia y automatización de los mecanismos implicados en la lectura más experta de palabras completas. El segundo tramo se consolida entre la lectura eficiente de palabras y la comprensión por la intervención de diversos aspectos prosódicos que se perciben en la lectura en voz alta. En esta línea, se ha sugerido que habría una relación más robusta entre los aspectos prosódicos de la fluidez y la comprensión lectora que entre la comprensión y la lectura rápida y precisa de listados de palabras, sobre todo luego del primer ciclo de nivel primario y en adolescentes (Amiama-Espaillat & Mayor-Ruiz, 2018; Denton et al., 2011; Denton, 2012; Denton et al., 2022; Eason et al., 2013; Jenkins et al., 2003; Lesaux & Kieffer, 2010; Silverman et al., 2013; Trapman et al., 2017).
Aspectos prosódicos de la lectura en voz alta
La prosodia es la melodía que percibimos al escuchar hablar o leer a alguien en voz alta. Al leer (o hablar) con la prosodia adecuada los lectores/hablantes modifican la entonación y realizan pausas en lugares determinados para poder dar cuenta de las unidades sintáctico-semánticas (Arancibia-Gutiérrez et al., 2022; Arancibia-Gutiérrez & Leiva, 2022; Arcand et al., 2014; Benjamin et al., 2013; Bizama et al., 2019a; Godde et. al, 2019; Godde et. al, 2021; González-Trujillo et al., 2014; Kuhn et. al, 2010; Bizama et al., 2019b; Nomvete & Easterbrooks, 2020; Rupley et al., 2020; Schreiber, 1991; Schwanenflugel et. al, 2004). Entonces, un lector con fluidez es aquel que puede modificar el volumen y la entonación de su voz, puede cambiar la velocidad con la que lee determinados fragmentos del texto, es capaz de leer las palabras agrupadas de manera significativa y sabe en qué momento es necesario hacer una pausa durante la lectura.
Ahora bien, ¿cómo logran los lectores y lectoras imprimirle expresividad a aquello que lee? Los signos de puntuación brindan pistas para que aquel que se enfrenta con un texto pueda segmentar sintácticamente las distintas oraciones que lo componen, pueda establecer relaciones de cohesión y coherencia y, en caso de ser necesario, pueda resolver posibles ambigüedades durante la lectura (Baron, 2001; Heggie & Wade-Woolley; 2018; Kentner, 2012; Marcet et al., 2022; Scholes & Willis, 1990). Fodor (1998; 2002) propone la hipótesis de prosodia implícita y postula que los lectores adultos incluso cuando leen de manera silenciosa proyectan una representación prosódica interna, semejante a la externa, que permite resolver posibles ambigüedades sintácticas y tiene una gran influencia para la comprensión de las oraciones. Asimismo, en trabajos en los que se utilizan técnicas como ERP y movimientos oculares, se han hallado evidencias de que la presencia de signos de puntuación activa información prosódica (Breen, 2014; Kentner, 2012; Pratt, 2018; Steinhauer, 2003; Steinhauer & Friederici, 2001).
La relación entre los aspectos prosódicos y la comprensión no solo se ha demostrado a nivel oracional sino también a nivel textual. En las investigaciones actuales los aspectos prosódicos de la lectura se analizan de distintos modos. Un grupo de investigaciones implementa el uso de herramientas que permiten realizar análisis acústicos para detectar aspectos tales como cambios en la frecuencia fundamental (ascenso y descenso del tono), el ritmo, la presencia y longitud de pausas, el contorno de entonación, entre otros aspectos (Álvarez-Cañizo, Cueva et al., 2020, Álvarez-Cañizo, Martínez-García et al., 2020; Cuadro et al., 2021; Fumagalli et al., 2020; Miller & Schwanenflugel, 2006, 2008; Morris et al., 2018; Schwanenflugel et al., 2004). Otros trabajos analizan las muestras de lectura en voz alta aplicando escalas subjetivas de fluidez que permiten valorar diversos aspectos de la prosodia al leer, como la entonación, el ritmo, la velocidad, la continuidad en la lectura, la segmentación sintáctica, entre otras (Arancibia-Gutiérrez & Leiva, 2022; Autores, 2023; Benjamin et al., 2013; González-Trujillo et al., 2014; Pinnell et al., 1995; Rasinski et al., 2009; Rasinski, 2004; Groen et al., 2019; Veenendaal et al., 2014, 2016). La validez de las escalas subjetivas como herramienta de valoración de la fluidez ha sido probada en distintos trabajos (Benjamin et al., 2013; Fumagalli et al., 2020) que combinan análisis acústicos y el uso de escalas y demuestran que ambas herramientas brindan el mismo tipo de información.
Si bien la fluidez debería estar consolidada cuando los y las estudiantes cursan el nivel secundario, como muestran las pruebas nacionales e internacionales, muchos y muchas adolescentes presentan dificultades para leer y comprender. En este marco, el presente trabajo se propuso indagar sobre las habilidades de fluidez lectora en estudiantes de 1.er año de nivel secundario de la Ciudad Autónoma de Buenos Aires2. Para ello, se evaluó a 39 estudiantes con una tarea de lectura en voz alta de dos textos expositivos, que luego se analizó con una escala para medir de manera subjetiva la fluidez, y una tarea de comprensión lectora ad hoc. Los textos utilizados en la evaluación se presentaron en dos condiciones: A (con puntuación) y B (sin puntuación), a fin de determinar si este tipo de información incide en los aspectos prosódicos de la fluidez para leer y tiene consecuencias para la comprensión lectora. Según lo expuesto, por un lado, es esperable que los y las estudiantes tengan un mejor desempeño en la tarea de comprensión luego de leer el texto con puntuación y, por otro, que la presencia o ausencia de signos de puntuación se refleje en la lectura en voz alta.
Método
Diseño
Siguiendo a Hernandez y colaboradores (2008), este trabajo presenta un diseño descriptivo, correlacional y transversal, ya que su objetivo es valorar el rendimiento de la fluidez para la lectura de dos textos presentados en dos condiciones y la comprensión de textos leídos en voz alta. Se trata de un estudio transversal dado que se realiza la medición en un único momento.
Participantes
Durante los meses de mayo y junio posteriores a la pandemia se llevó adelante un muestreo no aleatorio e intencional, dado que los y las estudiantes que participaron de esta investigación contaron con el consentimiento informado de sus padres o tutores y aceptaron responder las tareas de manera voluntaria. La muestra estuvo conformada por 39 alumnos y alumnas (20 mujeres) con una media de edad de 13.51 (DE = .42) que cursaban 1.er año de nivel secundario en una escuela privada de la Ciudad Autónoma de Buenos Aires.
Previo a la participación en este estudio, los adultos responsables de los y las participantes respondieron una serie de preguntas que contemplaban tanto aspectos sociodemográficos de los y las estudiantes (edad, sexo, años de escolaridad, lugar de nacimiento y residencia y ocupación, en el caso de los adultos responsables), como aspectos relativos a antecedentes clínicos (neurológicos, psiquiátricos, fonoaudiológicos y psicopedagógicos). Según la información brindada, los y las participantes de la muestra, según los parámetros de Sautú (1991), corresponden al nivel socioeconómico medio, son hablantes nativos del español y no presentaban (ni habían presentado al momento de la evaluación) dificultades específicas del aprendizaje, déficits auditivos o lingüísticos ni trastornos neurológicos o psiquiátricos.
Asimismo, como criterio de inclusión, los y las estudiantes fueron evaluados con las tareas de lectura de palabras y lectura de pseudopalabras del Test Prolec-SE-R (Cuetos et al., 2016) y obtuvieron una puntuación superior al percentil 25.
Instrumentos
Tarea de lectura en voz alta y comprensión lectora
Con el propósito de obtener muestras de lectura para valorar aspectos relativos a la fluidez lectora, los participantes respondieron una tarea de lectura en voz alta y comprensión de textos en la cual debían leer dos textos expositivos (1 y 2) diseñados ad hoc. El texto 1, que explicaba el origen de los nombres de los meses del año, estaba compuesto por cinco párrafos, un total de 19 oraciones y 187 palabras. Según el índice de legibilidad de Fernández (1959), su puntuación fue de 79.7 y en base a la escala INFLZS (Barrio-Catalejo et al., 2008), su valoración fue 75.22. El texto 2, cuya temática era el ciclo del agua, contaba con una extensión de cinco párrafos, un total de 18 oraciones y 203 palabras, el índice de legibilidad de Fernández (1959) fue de 72.35 puntos y según la puntuación de la escala INFLZS (Barrio-Cantalejo et al., 2008) el puntaje fue 67.87. De este modo, ambos textos se consideran cualitativamente como algo fácil (Fernandez Huerta, 1959) o bastante fácil (Barrio-Cantalejo et al., 2008).
Para la administración de la tarea, uno de los textos a leer incluía todas las marcas textuales correspondientes a los distintos signos de puntuación y mayúsculas cuando era pertinente (condición A) y el otro texto se presentaba sin signos de puntuación ni mayúsculas (condición B). Los textos fueron administrados con un criterio contrabalanceado, es decir, la mitad de los y las estudiantes leyó el texto 1 condición A y el texto 2 condición B y la otra mitad el texto 1 condición B y el texto 2 condición A, a fin de eliminar posibles dificultades relacionadas con las características de cada texto. Asimismo, las condiciones A y B también se presentaron de manera alternada para que el texto con puntuación no fuera siempre el primero que debían leer. Luego de la lectura y con texto presente, debían responder cinco preguntas de opción múltiple que requerían la recuperación de información literal y la generación de inferencias conectivas y elaborativas para su resolución.
Procedimiento
Cada estudiante fue evaluado en una única sesión. En primer lugar, se administró la tarea de lectura de palabras y pseudopalabras. En segundo lugar, se administraron los textos expositivos, primero el texto en condición A y luego en condición B (o viceversa). Al finalizar la lectura de cada texto, los y las participantes recibían una hoja impresa para responder la tarea de comprensión de textos.
Las muestras de lectura en voz alta de los y las participantes fueron registradas para su posterior análisis con el programa Audacity, que permite grabar audio y medir su duración. Para el análisis de los datos obtenidos se consideró el puntaje alcanzado en comprensión lectora y se valoró la fluidez para la lectura aplicando una versión actualizada y más detallada de la Escala de Fluidez lectora para Textos (Fumagalli et al., 2022). La aplicación de la escala fue realizada por el autor principal y otro de los autores del trabajo. El primero valoró la lectura en voz alta de 20 participantes y el segundo la de 19 estudiantes. Previamente, se puso a punto el criterio de puntuación y se analizaron seis casos al azar, tres de cada condición de evaluación, con un nivel de acuerdo entre los evaluadores del 75% (la confiabilidad entre evaluadores es Kappa de Cohen = .45, p < .001 y la correlación entre las puntuaciones de los evaluadores es de rho = .62, p < .001).
Escala de Fluidez lectora para Textos (Fumagalli et al., 2022). Permite evaluar la fluidez mediante una grilla que contempla parámetros objetivos relativos a la precisión lectora y parámetros subjetivos relacionados con aspectos prosódicos y expresivos de la lectura en voz alta. Esta escala ha sido diseñada para valorar la fluidez lectora de alumnos de distintos niveles de escolaridad a partir de textos específicos y permite analizar entre los aspectos objetivos: errores de lectura, modalidad lectora y tiempo de lectura; y entre los aspectos subjetivos: expresividad, volumen, segmentación sintáctica y entonación, continuidad y velocidad subjetiva de lectura. Cada una de estas categorías puede recibir un puntaje que va del 1 al 5, siendo la puntuación máxima 35 puntos, ya que la medida de tiempo de lectura no recibe puntaje. En la Tabla 1 se presentan las categorías contempladas en este instrumento y los criterios para su puntuación.
Tabla 1 Categorías de valoración de la fluidez lectora y descripción de los criterios de puntuación de la Escala de Fluidez lectora para textos
| Categorías | ||||||||
|---|---|---|---|---|---|---|---|---|
| Medidas objetivas | Medidas subjetivas | |||||||
| Puntaje |
Errores de lectura (Errores en la decodificación, repeticiones, sustituciones y omisiones. Regresiones a nivel palabra: lee nuevamente la palabra) |
Modalidad de lectura (Silabeos, tanteos y vacilaciones) |
Tiempo de lectura | Expresividad | Volumen | Segmentación sintáctica y entonación. | Continuidad | Velocidad |
| 1 | Comete numerosos errores de lectura: más de 15 errores de lectura. |
Lee de manera silabeada, vacila o tantea la mayoría de las palabras del texto. Cantidad de silabeos, tanteos y vacilaciones: más de 15. |
Lee con poca expresividad o entusiasmo en la voz. No muestra intenciones de hacer que la expresión lectora sea similar a la de la lengua natural. | No hay variación en el volumen durante la lectura y lee en voz baja o de manera inaudible. | No hay conciencia de los límites entre frases. Lee de manera monótona las palabras a medida que las encuentra. La lectura muestra un patrón de palabra por palabra siempre con la misma entonación. | La lectura muestra numerosas pausas de larga duración en lugares inadecuados (entre palabras, sintagmas u oraciones). | La lectura es lenta y trabajosa. | |
| 2 |
Comete numerosos errores de lectura. Cantidad de errores: entre 10 y 15. |
Lee de manera silabeada, vacila o tantea la mayoría de las palabras del texto. Cantidad de silabeos, tanteos y vacilaciones: entre 10 y 15. |
No hay variación en la expresividad. | Lee en voz baja. | La lectura resulta entrecortada y presenta agrupamientos tonales de dos o tres palabras por frase. Se marcan algunos límites tonales pero que no concuerdan los límites sintagmáticos o de frase. | Se perciben pausas largas y frecuentes (entre palabras, sintagmas u oraciones). | La lectura es moderadamente lenta. | |
| 3 |
Lee con dificultades las palabras poco frecuentes y de mayor longitud. Cantidad de errores 5 - 10. |
Lee de manera silabeada y vacila o tantea ante la presencia de palabras poco frecuentes y de mayor longitud. Cantidad de silabeos, tanteos y vacilaciones: 5 - 10. |
Comienza a utilizar la voz para que la lectura se asemeje a la lengua natural. En algunos segmentos del texto se percibe cierta variación en la expresividad. | Tiende en voz baja o el volumen no es constante a lo largo de la lectura del texto. | La entonación del lector no muestra una adecuada segmentación en cláusulas y oraciones. | No se perciben pausas ante palabras o estructuras específicas, solamente se observan pausas de respiración. | Los fragmentos se leen rápidamente y la lectura se percibe como acelerada. | |
| 4 |
Lee la mayoría de las palabras sin errores. Cantidad de errores 1 - 5. |
Lee la mayoría de las palabras de manera fluida. Cantidad de silabeos, tanteos y vacilaciones: 1 - 5. |
Suena como lenguaje natural la mayor parte del texto. Ocasionalmente hay fragmentos leídos sin expresividad. | La lectura tiene un volumen adecuado y es estable a lo largo del texto. | La entonación respeta límites sintagmáticos y oracionales en la mayoría de las oraciones. El lector realiza algunos cortes entre las palabras de las frases. | Se observan pausas ocasionales ante palabras o estructuras específicas. | La velocidad al leer no es uniforme. Algunos fragmentos se leen rápido y otros lentos. | |
| 5 | Sin errores de lectura. | Sin silabeos, tanteos ni vacilaciones. | Lee con buena expresión y entusiasmo a lo largo del texto. Se percibe como una lengua natural. El lector es capaz de variar la expresividad en base al texto. | El lector es capaz de variar el volumen en función de su interpretación del texto. | El pasaje leído muestra una adecuada segmentación en cláusulas y oraciones. Se observa una adecuada entonación en todas las frases. | La lectura se percibe fluida con algunas pausas o errores que se resuelven rápidamente. | La velocidad de lectura es constante y similar al ritmo de una conversación y al tipo de texto. | |
Análisis de datos
Con el propósito de indagar sobre las habilidades de la fluidez lectora en estudiantes de 1.er año nivel secundario, se llevaron a cabo dos grupos de análisis estadísticos para los que se utilizó el software Jamovi. El primer grupo tuvo como objetivo valorar la fluidez lectora para la lectura de textos expositivos en dos condiciones de evaluación (A: texto con puntuación y B: sin puntuación) con la escala subjetiva descripta. Con este propósito, se llevaron a cabo distintos análisis estadísticos con la finalidad de comparar el rendimiento lector de los y las estudiantes en ambas condiciones. Para esto, se analizaron los estadísticos descriptivos de las puntuaciones alcanzadas en la lectura de los textos presentados en la condición A y la B, y se analizaron diferencias en cuanto a las medidas obtenidas de fluidez (puntaje total), errores de lectura, modalidad de lectura, tiempo de lectura, expresividad, volumen, segmentación sintáctica y entonación, continuidad, velocidad subjetiva, comprensión de textos y tiempo empleado en la resolución de la tarea de comprensión.
El segundo grupo de análisis tuvo como propósito determinar diferencias entre estudiantes fluidos y no fluidos en la lectura de los textos con y sin puntuación. Para esto, en primer lugar, se realizó un análisis percentilar y luego se llevaron a cabo once análisis de varianza mixtos, considerando como variable independiente intersujeto a la condición de fluidez (estudiante fluido vs estudiante no fluido en la lectura) y como variable independiente intrasujeto la condición de puntuación del texto (sin puntuación vs. con puntuación). Asimismo, se consideraron como variables dependientes las medidas contempladas en la escala subjetiva de fluidez: puntaje total (fluidez), errores de lectura, modalidad de lectura, expresividad, volumen, segmentación sintáctica y entonación, continuidad, velocidad subjetiva y tiempo de lectura (velocidad objetiva), así como la puntuación en la tarea de comprensión de textos y el tiempo requerido para resolverla. Como análisis post hoc se empleó la prueba de contraste de Tuckey.
Resultados
Textos con y sin puntuación
Para establecer posibles diferencias de desempeño en la lectura de los textos en base a las condiciones de evaluación (con y sin puntuación) a partir de los puntajes de la escala de fluidez, se llevó a cabo un análisis de comparación entre medias utilizando el estadístico t de Student. En primer lugar, se presentan los estadísticos descriptivos para cada condición de evaluación (ver Tabla 2).
Tabla 2 Estadísticos descriptivos correspondientes a la valoración de la escala de fluidez y las medidas de comprensión
| Texto con puntuación | Texto sin puntuación | |||
|---|---|---|---|---|
| M | DE | M | DE | |
| Fluidez | 28.10 | 3.35 | 24.77 | 1.87 |
| Errores de lectura | 4.28 | .51 | 4.21 | .47 |
| Modalidad de lectura | 4.13 | .41 | 4.08 | .35 |
| Tiempo de lectura | 108.85 | 39.22 | 104.67 | 33.07 |
| Expresividad | 3.92 | .70 | 3.26 | .60 |
| Volumen | 4.21 | .41 | 4.00 | .00 |
| Segmentación sintáctica y entonación | 4.00 | .73 | 2.97 | .16 |
| Continuidad | 3.82 | .91 | 3.05 | .61 |
| Velocidad subjetiva | 3.82 | .85 | 3.23 | .54 |
| Comprensión de textos | 7.08 | 1.88 | 6.36 | 2.75 |
| Tiempo tarea de comprensión | 189.74 | 75.77 | 181.51 | 77.29 |
La prueba estadística mostró diferencias estadísticamente significativas en los puntajes de: Fluidez (t(38) = 7.26; p < .001; d = 1.16), Expresividad (t(38) = 5.17; p < .001; d = .83), Volumen (t(38) = 3.13; p < .01; d = .50), Segmentación sintáctica y entonación (t(38) = 9.06; p < .001; d = 1.45), Continuidad (t(38) = 6.19; p < .001; d = .99) y Velocidad subjetiva (t(38) = 4.90; p < .001; d = .79). El análisis no mostró diferencias en las medidas objetivas que valora la escala: errores de lectura (t(38) = 1.00; p = .32; d = .16), Modalidad de lectura (t(38) = .81; p = .42; d = .13), Tiempo de lectura (t(38) = .52; p < .61; d = .08). Asimismo, tampoco mostró diferencias en la puntuación obtenida en la tarea de comprensión de textos (t(38) = 1.38; p = .18; d = .22) ni en el tiempo implementado en esta tarea (t(38) = .49, p = .63; d = .08).
Lectores con fluidez y sin fluidez
Con el propósito de profundizar el análisis de los resultados obtenidos en base a las modalidades de evaluación (texto con y sin puntuación) y establecer diferencias en el nivel de fluidez de los y las estudiantes se describen los percentiles 25, 50 y 75 de la valoración a partir de la grilla de fluidez para las distintas condiciones de evaluación. En la Tabla 3 se reportan los datos percentilares y de distribución correspondientes a la valoración de la escala de fluidez para los textos con y sin puntuación.
Tabla 3 Estadísticos de percentiles y de distribución de la valoración de la escala de fluidez
| Fluidez de textos con puntuación | Fluidez de textos sin puntuación | |
|---|---|---|
| Media | 28.10 | 24.77 |
| Desviación estándar | 3.35 | 1.87 |
| Valor mínimo | 20.00 | 17.00 |
| Valor máximo | 35.00 | 29.00 |
| Asimetría | .12 | −1.38 |
| Curtosis | −0.17 | 7.47 |
| Percentil 25 | 26.00 | 24.00 |
| Percentil 50 | 28.00 | 25.00 |
| Percentil 75 | 30.00 | 26.00 |
A partir de estos valores, se seleccionó una muestra reducida que incluyó a 12 estudiantes que obtuvieron un percentil igual o inferior a 25 (valor igual o inferior a 26 puntos), es decir, los y las estudiantes con un menor nivel de fluidez para la lectura y a 12 estudiantes que obtuvieron un percentil igual o mayor a 75 (valor igual o mayor a 30 puntos), esto es, los y las estudiantes con mayor fluidez para la lectura según la evaluación realizada con la escala de fluidez a partir de la lectura del texto con puntuación.
A continuación, se presentan los estadísticos descriptivos de la escala de fluidez y de la puntuación alcanzada en la tarea de comprensión de textos y el tiempo requerido en su resolución, teniendo en cuenta la condición de fluidez de los estudiantes y la condición de puntuación del texto.
Tabla 4 Estadísticos descriptivos (media y desvío estándar) de la escala de fluidez y de la tarea de comprensión de textos y el tiempo requerido para su resolución
| Texto con puntuación | Texto sin puntuación | |||
|---|---|---|---|---|
| Fluido | No fluido | Fluido | No fluido | |
| Fluidez | 32.08 (1.73) | 24.58 (1.78) | 25.42 (1.56) | 23.75 (2.22) |
| Errores de lectura | 4.33 (.49) | 4.33 (.65) | 4.42 (.52) | 4.08 (.52) |
| Modalidad de lectura | 4.08 (.29) | 4.08 (.52) | 4.17 (.39) | 3.92 (.29) |
| Tiempo de lectura | 93(32) | 123 (46) | 106 (35) | 102 (30) |
| Expresividad | 4.67 (.49) | 3.42 (.52) | 3.33 (.65) | 3.17 (.58) |
| Volumen | 4.67 (.49) | 4.00 (.00) | 4.00 (.00) | 4.00 (.00) |
| Segmentación sintáctica y entonación | 4.42 (.90) | 3.58 (.67) | 3.00 (.00) | 2.925 (.29) |
| Continuidad | 4.50 (.67) | 2.92 (1.00) | 3.17 (.58) | 2.83 (.72) |
| Velocidad subjetiva | 4.42(.79) | 3.42 (.79) | 3.25 (.45) | 3.25 (.62) |
| Comprensión de textos | 7.33 (1.78) | 6.50 (1.93) | 6.33 (2.93) | 5.33 (2.60) |
| Tiempo tarea de comprensión | 198.33 (72.02) | 175.33 (78.65) | 176.50 (75.04) | 176.67 (64.84) |
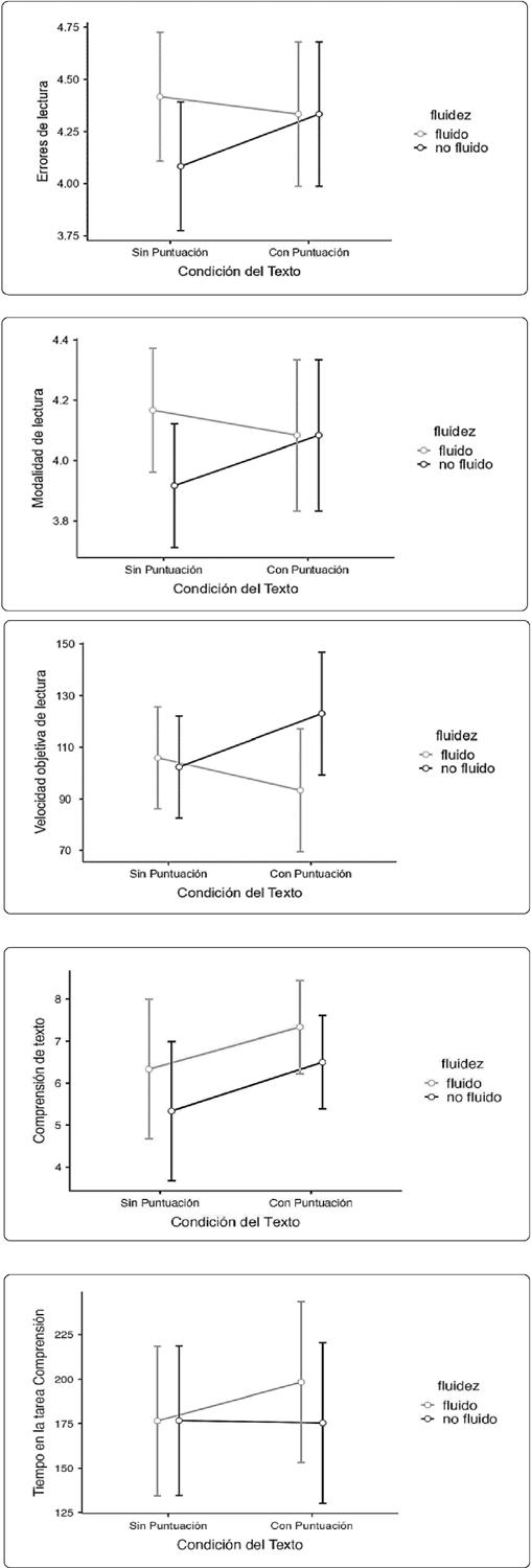
Al comparar las modalidades de presentación del texto, el análisis realizado no mostró diferencias significativas en relación a las medidas objetivas que evalúa la escala de fluidez: errores de lectura [F(1,22) = .72; p = .41; η2p =.03], modalidad de lectura [F(1,22) = .36; p = .56; η2p = .02] y tiempo de lectura [F(1,22) = .17; p = .69; η2p = .01] ni detectó diferencias en la puntuación obtenida en la tarea de comprensión de textos [F(1,22) = 2.50; p = .13; η2p = .10] ni en el tiempo implementado en esta tarea [F(1,22) = .45; p =.51; η2p = .02]. Tampoco se hallaron diferencias al comparer la condición de fluidez de los estudiantes en: errors de lectura [F(1,22) = 0.69; p = .41; η2p = .03], modalidad de lectura [F(1,22) = .81; p = .38; η2p = .04], tiempo de lectura [F(1,22) = 1.36; p = .26; η2p = .06], comprensión de textos [F(1,22) = 1.83; p = .19; η2p = .08] y tiempo implementado en la resolución de la tarea de comprensión [F(1,22) = .20; p =.66; η2p = .01]. Estas medidas tampoco mostraron efectos de interacción entre la modalidad de presentación de los textos y la condición de fluidez: errores de lectura [F(1,22) = 2.84; p = .11; η2p = .11], modalidad de lectura [F(1,22) = 3.19; p = .09; η2p = .13], tiempo de lectura [F(1,22) = 2.88; p = .10; η2p = .12], comprensión de textos [F(1,22) = .01; p = .90; η2p = .00] ni el tiempo implementado en la resolución de comprensión [F(1,22) = .57; p = .46; η2p = .03].
El análisis mostró efectos de interacción significativos entre las condiciones del texto (con y sin puntuación) y el nivel fluidez (fluidos vs. no fluidos) en las medidas de puntaje total de fluidez [F(1,22) = 74.45; p < .001; η2p = .77], volumen [F(1,22) = 22.00; p = < .001; η2p = .50], segmentación y entonación [F(1,22) = 5.47; p < .05; η2p = .20], continuidad [F(1,22) = 21.52; p < .001; η2p = .50], velocidad subjetiva [F(1,22) = 14.14; p < .001; η2p = .39] y expresividad [F(1,22) = 11.99; p < .01; η2p = .35]. El análisis post hoc señala que los estudiantes fluidos y no fluidos no se diferencia en las medidas indicadas en la condición del texto sin puntuación, pero muestran diferencias en la condición del texto con puntuación [fluidez (p < .001), volumen (p < .001), segmentación y entonación (p < .001), continuidad (p < .001), velocidad subjetiva (p < .05) y expresividad (p < .001)].

Figura 1 Gráficos de media e intervalo de confianza de las medidas de errores de lectura, modalidad de lectura, velocidad objetiva, comprensión de textos y tiempo para la resolución de la tarea de comprensión de textos
Discusión
El propósito del presente trabajo fue investigar el rendimiento en fluidez lectora en estudiantes de 1.er año de nivel secundario que fueron evaluados con una tarea de lectura en voz alta y comprensión lectora. Para evaluar la fluidez lectora se propuso la lectura en voz alta de dos textos expositivos, uno de ellos con marcas de puntuación y otro sin ellas, para analizar las muestras con la Escala de Fluidez lectora para textos. A su vez, luego de la lectura, los alumnos y alumnas debían resolver una tarea de comprensión lectora que incluía a preguntas inferenciales y literales.
En primer lugar, se llevaron adelante análisis estadísticos a fin de comparar el rendimiento en fluidez lectora de los y las participantes al leer textos expositivos con y sin marcas de puntuación (condición A y B). Los resultados obtenidos al aplicar la Escala de Fluidez lectora para textos a las muestras de lectura en voz alta indican que las condiciones de presentación de los textos no se reflejan en los resultados alcanzados en las puntuaciones de las medidas objetivas que valora la escala, ya que no hay diferencias en relación a los errores de lectura, modalidad lectora ni tiempo de lectura. Sin embargo, sí se observan diferencias en las puntuaciones obtenidas en las medidas subjetivas que evalúan aspectos relativos a la prosodia y expresividad al leer en voz alta (expresividad, volumen, segmentación sintáctica y entonación, continuidad y velocidad subjetiva).
Estos resultados, por un lado, están en línea con las investigaciones que señalan a los aspectos prosódicos y expresivos de la lectura como centrales en el desarrollo de la fluidez para la lectura (Arancibia-Gutiérrez & Leiva, 2022; Arancibia-Gutiérrez et al., 2022; Arcand et al., 2014; Benjamin et al., 2013; Bizama et al., 2019a; Godde et. al, 2019; Godde et. al, 2021; González-Trujillo et al., 2014; Kuhn et. al, 2010; Bizama et al., 2019b; Nomvete & Easterbrooks, 2020; Pikulski & Chard, 2005; Rasinski, 2010; Rupley et al., 2020; Schreiber, 1991; Schwanenflugel et al., 2004). Por otro lado, están en concordancia con los trabajos que señalan que la fluidez para leer textos en los grados superiores del nivel primario y en adolescentes funcionaría como un parámetro más relevante para explicar el rendimiento en comprensión lectora que la lectura de listas de ítems léxicos (Denton et al., 2011; Eason et al., 2013; Jenkins et al., 2003, Lesaux & Kieffer, 2010; Silverman et al., 2013).
A fin de profundizar el análisis de los datos obtenidos, en segundo lugar, se realizó un análisis percentilar del puntaje total en fluidez lectora alcanzado por los y las participantes según la escala propuesta. Esto permitió establecer dos grupos: estudiantes con fluidez y sin fluidez, y comparar las puntuaciones alcanzadas. Los resultados coinciden con los obtenidos al comparar las condiciones de presentación de los textos (con y sin puntuación) e indican que los y las estudiantes con y sin fluidez no se diferencian en las medidas objetivas que evalúa la escala, pero sí lo hacen en relación con las medidas subjetivas que valoran específicamente aspectos prosódicos y expresivos de la lectura. Estos resultados, por un lado, sugieren que los y las estudiantes de primer año de nivel secundario de esta muestra han alcanzado un dominio techo en relación con las habilidades de decodificación y acceso léxico. Asimismo, los hallazgos de este análisis nos habilitan a plantear la posibilidad de que la fluidez lectora no requiere solamente la automatización de los procesos implicados en la decodificación y reconocimiento de palabras, sino también la experticia de los aspectos relativos a la lectura expresiva. En relación con este último punto, a partir de las evidencias que brindan las medidas subjetivas contempladas en la escala se pone en evidencia que, solo los y las estudiantes que logran leer con fluidez han logrado automatizar los aspectos prosódicos de la lectura.
Esta última afirmación se refuerza con los datos que surgen de la comparación de la lectura de los textos en las condiciones A y B. Los datos obtenidos indican que el grupo de estudiantes sin fluidez lectora muestra un rendimiento equivalente al leer los textos con y sin puntuación, mientras que el grupo con mayor nivel de fluidez desciende considerablemente su rendimiento al leer el texto sin marcas de puntuación y, al ser valorado su desempeño con la Escala de fluidez para textos, no se diferencia de los estudiantes sin fluidez.
Estos resultados nos permiten afirmar que para los y las estudiantes con buenas habilidades de fluidez lectora, la presencia de los distintos signos de puntuación en el texto es determinante para poder delimitar las distintas unidades de sentido del texto e imprimir significado al leer. En este sentido, procesar las marcas de puntuación de manera eficiente beneficia los aspectos relativos a la lectura expresiva.
Estas evidencias están en línea con los trabajos que muestran que la presencia de signos de puntuación activa información prosódica (Kentner, 2012; Steinhauer, 2003; Steinhauer & Friederici, 2001) y permite desambiguar oraciones, así como realizar el empaquetamiento sintáctico-semántico adecuado.
En resumen, la presencia o no de signos de puntuación no repercute en el desempeño lector de los y las estudiantes con bajas habilidades de fluidez porque al leer destinan la mayoría de sus recursos cognitivos y atencionales a la precisión y velocidad lectora, limitando así los recursos necesarios para imprimirle expresividad a la lectura en voz alta. Poder destinar recursos cognitivos y atencionales a la expresividad para leer es resultado, por un lado, del conocimiento de las reglas de puntuación y la experiencias o práctica lectora y, por otro, de las estrategias metacognitivas que se ponen en juego cuando un lector o lectora se plantea los propósitos y estrategias a llevar adelante durante la lectura de un texto (Elosúa et al., 2013; Klingner et al., 2011). En el caso de los lectores sin fluidez, las estrategias focalizarán en la precisión y velocidad con la que se lean las palabras en detrimento de la expresividad.
Por último, en relación con los resultados obtenidos en la tarea que evalúa la comprensión lectora de los textos con y sin puntuación utilizados en esta evaluación, a pesar de lo esperado, el primer grupo de análisis estadísticos realizados no arrojan diferencias de rendimiento al comparar estas dos condiciones. Estos datos están en línea con los datos reportados por Almeida y Fonseca (2018), quienes evaluaron la lectura de textos expositivos con y sin puntación en estudiantes de nivel secundario y no hallaron diferencias de rendimiento en comprensión lectora. El segundo grupo de análisis no mostró diferencias de rendimiento en la tarea de comprensión lectora entre los lectores con y sin fluidez. Estos resultados no coinciden con las evidencias surgidas en distintos trabajos que señalan que los y las estudiantes que no logran leer con fluidez muestran dificultades para la comprensión de los textos (Amiama-Espaillat & Mayor-Ruiz, 2018; Denton et. al, 2011; Denton, 2012; Denton et. al, 2022; Eason et. al, 2013; Jenkins et al, 2003; Lesaux & Kieffer, 2010; Silverman et. al, 2013; Trapman et. al, 2017). Una posible explicación para esto podría ser la modalidad de evaluación de la tarea de comprensión lectora, ya que se realizó con texto presente. Esto permitió que los alumnos y alumnas que muestran distintos niveles de habilidades de fluidez pudieran leer el texto de manera silenciosa y sin límite de tiempo para resolver la tarea de comprensión.
Para finalizar, entre las limitaciones de este trabajo, además de la ya comentada condición de evaluación de la tarea de comprensión, se encuentra el tamaño acotado de la muestra. En futuros trabajos el objetivo es salvar estas limitaciones y ampliar la cantidad de alumnos y alumnas de 1.er año, así como también sumar otros cursos de nivel secundario para obtener una muestra de mayor volumen y que permita determinar en qué momento los y las estudiantes de nivel secundario completan el proceso de desarrollo de la fluidez para la lectura y comienzan a procesar las marcas de puntuación de manera eficiente para manifestarlo en la lectura en voz alta. A su vez, en futuras evaluaciones, se propondrá como tarea para evaluar la comprensión lectora la resolución de preguntas de opción múltiple sin texto presente, así como una tarea de renarración del texto leído. De este modo, esperamos obtener mayor variación en los niveles de comprensión lectora. Por último, a fin de obtener más información sobre la relación entre puntuación y prosodia en la lectura en voz alta de textos, sería interesante sumar evidencias de análisis acústicos y de movimientos oculares para comparar los resultados hallados al aplicar la Escala de Fluidez lectora para textos.















