As doenças falciformes (DFs) são identificadas como um grupo de alterações genéticas no sangue ocasionadas pela hemoglobina falciforme (HbS) e reconhecidas mundialmente como condições monogênicas nocivas, de fisiopatologia precoce e que afetam todo o organismo (Kavanagh et al., 2022; Stack, & Adesina, 2019). A literatura sobre a temática destaca que as DFs geram considerável morbidade, causam dor intensa, reduzem a expectativa de vida, requerem autocuidado significativo e se associam a comprometimentos cognitivos (Hood et al., 2021). Nessa direção, os déficits nas funções cognitivas são indicados como sequelas clinicamente significativas das DFs, destacando-se o aumento considerável nos últimos anos no número de estudos publicados que descrevem o funcionamento cognitivo de indivíduos com tal doença (Kirkham et al., 2024; Prussien et al., 2020).
Os portadores de DFs apresentam déficits cognitivos mesmo na ausência de infartos cerebrais ou derrames, sendo observado que o fluxo sanguíneo cerebral elevado e a fração de extração de oxigênio (marcadores de comprometimento hemodinâmico) associam-se a um funcionamento cognitivo global inferior, quando comparados a indivíduos saudáveis (Prussien et al., 2021). Em metanálise realizada sobre funções cognitivas nas DFs foram encontrados déficits em vários domínios cognitivos ao longo da vida, sendo as doenças falciformes associadas a desempenhos inferiores à média em Quociente de Inteligência (QI) verbal, QI de desempenho, QI total, atenção, memória, linguagem, raciocínio matemático, visuopercepção e funções executivas (FEs) (Prussien et al., 2019).
Tratando-se especificamente das FEs, destaca-se que crianças com AF, a forma mais grave das DFs, apresentam, ainda enquanto bebês, alterações na transmissão dopaminérgica nos lobos frontais, área cerebral mais fortemente associada ao funcionamento executivo, de modo que mesmo as habilidades mais básicas se encontram de antemão prejudicadas (Hogan et al., 2013). Esse estudo prevê atraso nas funções executivas, sendo elas: (1) memória de trabalho (MT), associada à manutenção e à manipulação de informações durante a operacionalização de tarefas; (2) controle inibitório (CI), relacionado ao controle atencional e comportamental; e (3) flexibilidade cognitiva (FC), associada à capacidade de alterar estratégias para a resolução de problemas (Downes et al., 2020). Tais habilidades compõem a tríade executiva proposta por Miyake et al. (2000) e são a base para o desenvolvimento de habilidades executivas mais complexas.
Dessa forma, indivíduos com DFs apresentam dificuldades no planejamento, realização e monitoramento de ações intencionais, acarretando baixa capacidade de autorregulação e em comportamentos desadaptativos associados ao baixo desempenho em FEs. Estudos empíricos apontam que habilidades executivas mais baixas nesta população predizem negativamente a qualidade de vida, o desempenho acadêmico, as relações sociais e o funcionamento socioemocional (e.g. Anderson et al., 2015; Hood et al., 2021; Peterson et al., 2020).
Destaca-se ainda que o bom funcionamento executivo está associado a uma melhor adesão ao tratamento das DFs (Hardy et al., 2018). Ademais, desde os estudos iniciais sobre a temática, as FEs se revelaram associadas a aspectos biológicos, apresentando-se como habilidades sensíveis para a detecção de infarto cerebral silencioso (ICS), consequência com alta prevalência em pessoas com DFs, assim como o Acidente Vascular Cerebral (AVC), tipicamente na região do córtex frontal (DeBaun et al., 1998; Hamdule et al; 2023).
Portanto, ressalta-se a importância das FEs nesta população, tanto no que tange aos seus efeitos sobre variáveis psicológicas e psicossociais quanto no que se refere à sua associação com aspectos biológicos que podem ser previstos por déficits executivos e que também podem prevê-los. Assim, as FEs podem ser consideradas (1) preditoras de comorbidades orgânicas e psicológicas, (2) fatores de risco e, também, (3) fatores protetivos na população com DFs. Todavia, mesmo existindo revisões narrativas e metanálises recentes sobre as funções cognitivas deste grupo clínico (e.g. Prussien et al., 2020; Prussien et al., 2019), não foram identificadas revisões sistemáticas com metanálise dos correlatos de déficits nas funções executivas nesta população, conforme as buscas realizadas ao longo deste estudo (até julho de 2024). Desse modo, o presente estudo de metanálise objetivou analisar os correlatos biológicos/orgânicos e psicológicos/psicossociais de déficits nas funções executivas de indivíduos com DFs, incluindo riscos potenciais e consequências de déficits nas FEs.
Este artigo seguiu estrutura similar à apresentada por Prussien et al. (2020) sobre correlatos biológicos, ambientais e comportamentais nos domínios de diversas funções cognitivas nas DFs. Orienta-se pelo modelo heurístico o qual postula que correlatos das funções cognitivas podem ser conceituados como riscos ou consequências (Prussien et al., 2020). Os riscos potenciais para a função cognitiva incluem características biológicas, enquanto as consequências dos déficits cognitivos englobam problemas psicológicos e/ou psicossociais que podem também impactar o funcionamento cognitivo, como pode ser observado na Figura 1.

Figura 1 Modelo Heurístico de Riscos Biológicos e Consequências Psicológicas/Psicossociais das Doenças Falciformes sobre as Funções Executivas
Apresentamos aqui uma análise mais específica voltada às FEs, tendo em vista estas funções serem consideravelmente afetadas em pessoas com DFs desde a infância (Dias et al, 2021) e déficits executivos repercutirem diretamente nos mais diversos âmbitos da vida de crianças, adolescentes e adultos (Korzeniowski et al., 2021). Ademais, conforme Prussien et al. (2020), poucos estudos avaliam diretamente esses correlatos, de modo que esta área de pesquisa requer mais atenção. Além disso, esses autores destacam a importância de pesquisas futuras de revisão sistemática para continuarem a avaliar domínios mais específicos das funções cognitivas, notadamente as executivas, a fim de obter uma compreensão mais abrangente de correlatos cognitivos específicos. Dessa forma, o objetivo dessa metanálise é analisar os correlatos biológicos/orgânicos e psicológicos/psicossociais de déficits nas funções executivas em indivíduos com doenças falciformes.
Método
Trata-se de um estudo de revisão sistemática da literatura com metanálise realizado em conformidade com as diretrizes do Preferred Reporting Items for Systematic Reviews and Meta-Analyses - PRISMA 1 (Page et al., 2021).
Fontes de Informação e Estratégia de Busca
As bases SCOPUS, ScienceDirect e MedLine foram consultadas por duas pesquisadoras independentemente no mês de outubro de 2021 e, posteriormente, em julho de 2024 para atualização, utilizando as combinações de termos: "sickle cell anemia" OR "sickle cell disease" AND "executive function” OR “executive functioning”. Publicações adicionais foram identificadas a partir de uma busca manual nas listas de referências dos artigos identificados. A busca se restringiu à inclusão de artigos empíricos publicados nos idiomas inglês, espanhol e português, sem limitação temporal.
Critérios de Elegibilidade
A análise dos estudos foi realizada por duas pesquisadoras independentemente, não tendo sido detectadas discordâncias. A elegibilidade foi inicialmente avaliada com base nos títulos e resumos das publicações identificadas, sendo considerados nesta primeira triagem os critérios de inclusão: (1) artigos empíricos; (2) com participantes humanos; (3) de qualquer idade; (4) com diagnóstico de DF; (5) que avaliaram e relataram dados de correlatos biológicos/relativos a comorbidades orgânicas e/ou psicológicos/psicossociais das FEs; (6) que abordaram diretamente alguma das FEs da tríade executiva (MT, CI e FC); e (7) escritos em português, inglês ou espanhol.
Foram excluídos com base nos títulos e resumos, os estudos que: (1) não fazem referência à temática “funções executivas em indivíduos com doenças falciformes”; (2) estudos teóricos; (3) estudos publicados em outros idiomas; e (4) estudos repetidos nas bases pesquisadas. Após a leitura na íntegra dos artigos foram incluídos outros critérios de exclusão, a saber: (5) estudos que fizeram avaliações baseadas em questionários de heterorrelato (não fazendo o uso de medida padronizada baseada no desempenho das FEs); (6) estudos de intervenção que envolveram manipulação experimental das FEs e não apresentaram claramente resultados de pré-intervenção; e (7) estudos que não apresentaram dados estatísticos de correlação em seus resultados (impossibilitando o cálculo do tamanho dos efeitos encontrados).
Procedimentos de Codificação e Análise dos Dados
Os correlatos das FEs foram extraídos e categorizados como: (1) biológicos/relativos a comorbidades orgânicas (e.g. hemoglobina, dor física, tamanho do corpo caloso e tempo de transfusão), e (2) psicológicos ou psicossociais (e.g. problemas emocionais, comportamentais e/ou de desempenho acadêmico). Além das informações sobre os correlatos foram extraídas também, de cada estudo, (1) as medidas utilizadas de FEs, (2) o tamanho da amostra, e (3) as estatísticas de correlação para o cálculo dos tamanhos de efeito (TE). A análise foi realizada a partir do pacote para análise estatística Jamovi (The Jamovi Project), sendo utilizados o modelo de efeitos aleatórios e a diferença de média padronizada (DMP). O índice de heterogeneidade (I2) foi classificado como: não heterogêneo (valores próximos a 0%), baixo (próximos a 25%), moderado (próximos a 50%) e alto (acima de 75%) (Higgins, Thompson, Deeks, & Altman, 2003). Considerou-se um tamanho de efeito pequeno quando os resultados não ultrapassaram 0,10; moderado quando igual ou superior a 0,30; e grande se excederam 0,50.
Para a avaliação da qualidade dos artigos incluídos foram utilizados cinco critérios da ferramenta de avaliação da qualidade do National Institutes of Health para estudos de coorte observacionais e transversais (National Heart et al., 2014), a saber: (1) os resultados do estudo são claramente apresentados e avaliados por instrumentos com propriedades psicométricas reconhecidas; (2) justificativa do tamanho, poder, descrição e variância da amostra são apresentados; (3) critérios de exclusão são claros; (4) a população do estudo é especificada e definida; e (5) objetivos e pergunta de pesquisa são claramente definidos. Aos estudos foram atribuídos um ponto por critério atendido, que foram somados para uma pontuação de qualidade total entre 0 e 5.
Resultados
Descrição dos Estudos Incluídos
A busca inicial nas bases de dados, até outubro de 2021, resultou na identificação de 1.714 estudos, com 49 selecionados, que foram analisados inicialmente com base nos seus resumos e títulos e, posteriormente, nos textos completos, conforme critérios de inclusão e exclusão supracitados. Posteriormente, em julho de 2024, empreendeu-se uma nova busca, identificando-se mais 63 estudos, que foram igualmente analisados conforme os mesmos critérios, totalizando assim 1.777 artigos identificados. Artigos adicionais foram identificados a partir de uma busca manual nas listas de referências dos artigos identificados, resultando em mais sete estudos potenciais, que também foram analisados quanto à adequação aos critérios de inclusão, resultando no acréscimo de mais um artigo. Um total final de 19 artigos foi incluído, sendo 18 das buscas nas bases e um das buscas nas referências dos artigos selecionados. A Figura 2 fornece uma visão geral do processo de seleção dos estudos, com atualizações após a busca referente ao período entre novembro de 2021 e julho de 2024. Ressalta-se que os artigos encontrados no período mais atual não aderiram aos critérios designados nesta revisão para incluí-los. Em outras palavras, foram excluídos, por exemplo, porque incluíram como participantes não humanos (e.g., Shi et al., 2024) ou não eram estudos empíricos (e.g., Bhaskar, 2021).
Os 19 conjuntos de dados incluíram 864 participantes com idade média de 13,9 anos (DP = 6,4), sendo 47,5% dos estudos com crianças e adolescentes, 42,5% com apenas crianças e 10% adultos. Quanto ao sexo dos participantes, 53% são do sexo feminino. O ano de publicação dos estudos variou entre 2003 e 2021. Participaram indivíduos de diversos países, com destaque para os Estados Unidos (68% dos estudos) e o Reino Unido (10% dos estudos). As medidas de avaliação das FEs utilizadas nos estudos foram especialmente as tarefas do Delis-Kaplan Executive Function System (D-KEFS; 31% dos estudos) e a Tarefa Digit Span das Escalas Wechsler (WISC; 21% dos estudos).
Quanto aos componentes executivos básicos avaliados, destacou-se a flexibilidade cognitiva (63,1%), seguida da memória de trabalho (57,8%) e do controle inibitório (26,3%). Os participantes dos estudos apresentaram genótipos variados (e.g., HbSS, HbSC, HbSb1 e HbS/β°) e QI acima de 70. A Tabela 1 apresenta características dos estudos incluídos. Especificamente para fins de análise do tamanho do efeito, este estudo incluiu 31 correlações, que geraram efeitos estatisticamente significativos para correlatos biológicos e/ou psicológicos/psicossociais das FEs. Todavia, três estudos apresentaram correlações não significativas (Downes et al., 2020; Prussien et al., 2019; Schatz & Roberts, 2007), especificamente para os correlatos biológicos, definidos por hemoglobina e tempo de transfusão, e para os correlatos psicossociais (renda e estresse percebido).
Tabela 1 Características dos Estudos Incluídos
| Estudo (ano) | País | N | I | % Fem |
QI | Genótipo | Correlatos | FEs | Medidas FEs | Qual. |
|---|---|---|---|---|---|---|---|---|---|---|
| Anderson et al. (2015) | EUA | 32 | 12.1 | 46% | ≥70 | HbSS, HbSC e HBB | Biológico | MT | WISC | 4 |
| Andreotti et al. (2015) | EUA | 25 | 11.1 | 48% | 91 | Não | Biológico | CI e FC | D-KEFS | 4 |
| Burkhardt et al. (2016) | Alema- nha |
32 | 11.1 | 56% | 93 | HbSS, HbSC e HbS/β° | Biológico | MT e FC | ANT | 4 |
| Chai et al. (2021) | EUA | 87 | 23 | 54% | 100 | Variado | Biológico | MT, CI e FC | WISC-IV, WAIS-IV e D-KEFS |
4 |
| Downes et al. (2020) | Irlanda | 28 | 13 | 58% | Não | Não | Biológico | CI e FC | NIH Toolbox | 4 |
| Hensler et al. (2014) | EUA | 20 | 11.2 | 60% | ≥70 | HbSS, HbSC, HbSB e HbSβ0 | Psicológico | FC | NEPSY-II | 4 |
| Hijmans (2010) | Holanda | 34 | 11.1 | 47% | 79 | HbSS e HbSβ0 | Biológico | MT e CI | SSRT e WISC | 4 |
| Hollocks et l. (2011) | Reino Unido | 10 | 12 | 60% | 85 | HbSS | Biológico | FC | D-KEFS | 4 |
| Hood et al. (2021) | Reino Unido | 30 | 12.3 | 40% | 100 | HbSS | Biológico Psicológico | FC | D-KEFS | 4 |
| Kral et al. (2006) | EUA | 27 | 10.1 | 55% | 88 | HbSS | Biológico Psicológico | MT e FC | TMT | 4 |
| Kral et al. (2003) | EUA | 60 | 11 | 57% | 91 | HbSS | Psicológico | MT e FC | TMT | 4 |
| Martin et al. (2020) | EUA | 30 | 32.5 | 77% | >70 | Não | Biológico | FC | D-KEFS | 3 |
| Peterson et al. (2020) | Canadá | 68 | 13 | 54% | 86 | HbSS | Psicológico | MT | WISC | 4 |
| Prussien et al. (2019) | EUA | 83 | 9.1 | 55% | Raven=15.21 | HbSS e HbSβ0 | Biológico | MT | WISC | 4 |
| Rhodes et al. (2020) | EUA | 62 | 32 | 46% | ≥70 | Não | Psicológico | FC | D-KEFS | 4 |
| Schatz & Roberts (2007) | EUA | 22 | 2.1 | 44% | Não | HbSS0 e HbSb1 | Psicológico | MT | Delayed Response task |
3 |
| Schatz et al. (2013) | EUA | 32 | 12.1 | 43% | Não | HbSS e HbS-beta-thal0 | Biológico | MT | EXAMINER Battery |
4 |
| Smith & Schatz (2016) | EUA | 117 | 12.1 | 49% | Não | HbSS e HbS-beta-thal° | Biológico | MT | EXAMINER Battery |
5 |
| Yarboi et al. (2017) | EUA | 65 | 11.2 | Não | 92 | Não | Psicológico | CI e FC | D-KEFS | 4 |
Nota: N= amostra de participantes; I= idade média; %Fem= porcentagem do sexo feminino; QI= Quociente de Inteligência; FEs= funções executivas; Medidas FEs= medidas de avaliação das FE; Qual.= qualidade dos estudos; Não= o estudo não apresentou a informação; MT= memória de trabalho; CI= controle inibitório; FC= flexibilidade cognitiva.
O efeito geral da relação entre variáveis biológicas e psicológicas ou psicossociais e déficits nas FEs básicas foi moderado e com baixa heterogeneidade (DMP= 0,47; IC 95% = 0,40 a 0,53; p <0,001; I2 = 28,09%), o que revela o impacto e a associação tanto de aspectos biológicos quanto psicológicos/psicossociais com o funcionamento executivo. Nos próximos subtópicos serão tratados os efeitos e implicações específicas destes correlatos dos déficits nas funções executivas de indivíduos com DFs.
Riscos Biológicos para Déficits nas FEs: Correlatos Biológicos
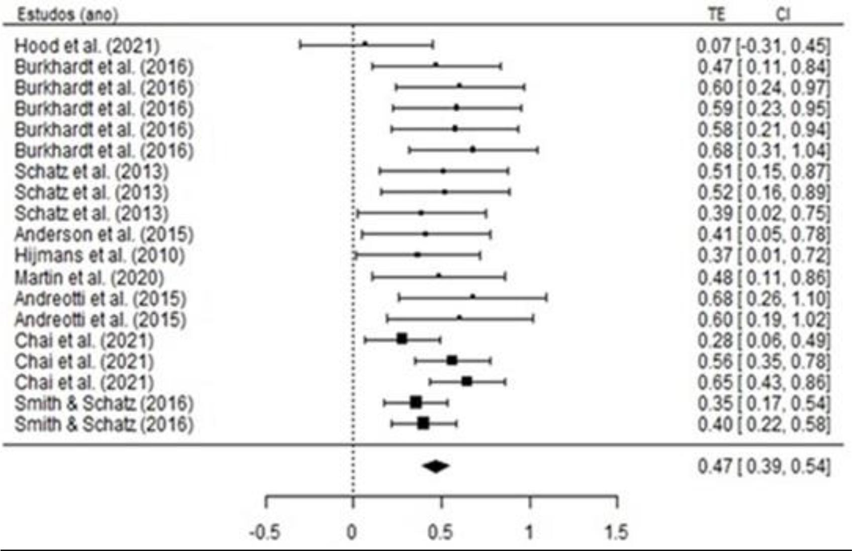
Treze estudos avaliaram correlatos biológicos das FEs, resultando no cálculo de 19 efeitos significativos e no tamanho de efeito geral moderado e homogêneo (DMP= 0,47; IC 95% = 0,39 a 0,54; p <0,001; I2 = 12.06%), o que revela que determinados aspectos orgânicos em pessoas com DFs impactam o seu funcionamento executivo. Os achados meta-analíticos mostraram que a carga de dor, a hemoglobina falciforme, a hemoglobina, o tamanho do corpo caloso, o tempo de transfusão, a fadiga, a creatinina e o nível de citocinas plasmáticas são significativamente correlacionados com as FEs e produzem efeitos sobre a MT, o CI e a FC. A Figura 3 apresenta o tamanho de efeito geral para correlatos biológicos e os específicos para cada correlação inserida, bem como seus intervalos de confiança.
Consequências Psicológicas e Psicossociais dos Déficits nas FEs: Correlatos Psicológicos e Psicossociais
Oito estudos avaliaram correlatos psicológicos ou psicossociais das FEs, resultando no cálculo de 10 efeitos significativos e no tamanho de efeito geral moderado com heterogeneidade moderada (DMP= 0,45; IC 95% = 0,32 a 0,58; p <0,001; I2 = 53.1%), o que revela que problemas psicológicos e psicossociais estão associados a déficits executivos nesta população. Os achados meta-analíticos mostraram que o estresse financeiro materno, a qualidade de vida, a ansiedade, as habilidades sociais e acadêmicas foram significativamente correlacionados com as FEs, de modo que disfunções nas habilidades executivas se vinculam a consequências psicológicas e psicossociais diversas. A Figura 4 apresenta o tamanho de efeito geral para correlatos psicológicos ou psicossociais e os específicos para cada correlação inserida, bem como seus intervalos de confiança.
Qualidade dos Estudos
As classificações de qualidade são apresentadas na Tabela 1. A qualidade dos estudos variou entre 3 e 5 (Média = 3,94, DP = 0,41). Destaca-se que apenas um estudo (Kral et al., 2003) incluiu justificativa do tamanho da amostra /análises de poder.
Discussão
O presente estudo de metanálise objetivou analisar os correlatos biológicos/orgânicos e psicológicos/psicossociais de déficits nas funções executivas em indivíduos com doenças falciformes, incluindo riscos potenciais e consequências dos déficits nas FEs. Observou-se que existem consistentes evidências de que características biológicas e psicológicas/psicossociais estão associadas às FEs nesta população. Os resultados indicaram os principais preditores biológicos de déficits nas FEs, sendo a influência da hemoglobina a mais relatada nos estudos e compreendida como um forte indicador do funcionamento neurocognitivo (e.g., Burkhardt et al. 2017; Hijmans et al., 2010).
Ressalta-se que hemoglobina, hematócrito e velocidade do fluxo sanguíneo cerebral, geralmente medidos pelo doppler transcraniano (DTC), são todos índices de oxigenação no sangue e no cérebro (Prussien et al., 2021). Neste contexto, Prussien et al. (2019), ao avaliarem a associação entre a velocidade do sangue cerebral, medida por DTC, idade, sexo e funções cognitivas em crianças com AF, observaram que a velocidade elevada de fluxo sanguíneo aumenta o risco de déficits na eficiência do planejamento executivo e que particularmente os indivíduos do sexo masculino estão sob maior risco para déficits na memória operacional auditiva. Tais déficits implicam especialmente em alterações nas capacidades de processar e integrar informações e até de seguir instruções verbais mais elaboradas, influenciando no não cumprimento de tarefas cognitivas ou atividades até o final (León et al., 2013).
Pessoas com DFs têm capacidade de transporte de oxigênio reduzida devido aos baixos níveis de hemoglobina, os quais podem ser ainda mais reduzidos em quadros clínicos específicos, como na síndrome torácica aguda ou em casos de infecção (Hijmans et al., 2010). As reduções na hemoglobina em crianças e adultos com DFs estão associadas a deficiências neurocognitivas, principalmente em pacientes mais velhos (Weiskopf et al., 2006). Em comparação com controles saudáveis, os adultos com AF apresentam pior desempenho executivo geral, o que gera prejuízos na volição, planejamento e execução efetiva de planos e está associado à anemia, à idade e a reduções nos níveis de hemoglobina (Vichinsky et al., 2010). No que se refere às investigações com adultos saudáveis, Weiskopf et al. (2006) demonstraram que reduções na hemoglobina estão associadas a deficiências neurocognitivas, sendo a hemoglobina uma preditora significativa da memória verbal de curto prazo e do funcionamento executivo.
Outro aspecto biológico/orgânico associado às FEs em pessoas com DFs é a doença cerebrovascular, uma característica importante das DFs pediátricas que pode causar comprometimentos cognitivos e motores (Burkhardt et al., 2016). Nessa direção, ressaltam-se os dados sobre a cerebrovasculopatia progressiva (Kral et al., 2003; Burkhardt et al., 2016), uma vez que crianças com este quadro clínico têm maior prejuízo nas funções neurocognitivas relacionadas aos sistemas frontais, associados às FEs, sendo estas crianças mais vulneráveis aos efeitos de patologia progressiva nas principais artérias cerebrais, que afetam habilidades de autorregulação e atenção sustentada / concentração.
O AVC e o ICS são as principais complicações provocadas por esta patologia antes dos pacientes completarem 15 anos de idade (Routhieaux et al., 2005). Entre as crianças com AF, o quadro de ICS está associado a significativa redução cognitiva e acadêmica, com fatores de risco que ainda precisam ser mais esclarecidos cientificamente, ocorrendo em bebês a partir de um ano de idade, com maior taxa de incidência em crianças menores de seis anos.
No caso daqueles sem histórico clínico de AVC, há registros que evidenciam estreitamento cortical bilateral e de menor integridade da substância branca, como resultado dos efeitos da hipóxia crônica nas regiões fronto-parietais, que afetam o funcionamento executivo (Downes et al., 2020). Esses achados enfatizam o quanto aspectos biológicos/orgânicos próprios das DFs, incluindo aqui também a carga de dor, a fadiga e o nível de citocinas plasmáticas, afetam o funcionamento cerebral e especialmente áreas cerebrais envolvidas no desenvolvimento e funcionamento das FEs, como é o caso da área pré-frontal em suas porções dorsolateral, ventromedial e cingulado anterior, associadas às tomadas de decisões e ao planejamento de ações intencionais.
Quanto às consequências psicológicas/psicossociais, é elementar considerarmos o impacto que doenças crônicas como as DFs geram no cotidiano dos portadores, que vão desde a sintomatologia característica (complicações e sequelas provocadas pela evolução da doença) até o desemprego e dificuldades financeiras (Silva et al., 2013). É fato que pacientes com DFs geralmente apresentam pior qualidade de vida quando comparados a outros pacientes com condições crônicas (asma, por exemplo), principalmente em eventos agudos como as frequentes crises de dor nos ossos e nas articulações (Hood et al., 2021; Silva et al., 2013). Registra-se também que as DFs são identificadas como fator de risco para a ocorrência de problemas comportamentais e desempenho insatisfatório quanto à competência social, vinculada a restrições no que se refere a frequência e qualidade de interação; e à competência acadêmica, no que tange a desempenhos abaixo do esperado em avaliações escolares (Routhieaux et al., 2005).
Em complemento ao que a literatura já apresentava, os resultados desta metanálise indicaram que habilidades executivas mais baixas são aspectos que permeiam os impactos negativos das DFs na qualidade de vida, nas relações sociais, no desempenho acadêmico e no funcionamento socioemocional dos seus portadores (e.g. Anderson et al., 2015; Hood et al., 2021; Peterson et al., 2020). Estes achados podem ser compreendidos à luz das consequências negativas dos déficits executivos na vida dos indivíduos nos mais diversos âmbitos. Tais consequências incluem inabilidades de autogerenciamento gerais, como dificuldades no planejamento de ações, na realização de escolhas, seleção de estratégias e no monitoramento de ações intencionais, sejam cognitivas, comportamentais ou emocionais.
No caso específico das crianças, o contexto escolar é o mais afetado pelo baixo desempenho nas FEs, pois já é consenso na literatura sobre a temática que o desempenho executivo está fortemente associado ao desempenho acadêmico (Santana et al., 2020). Desse modo, compreende-se que os impactos da doença nas FEs e consequentemente na aprendizagem sugerem que o rastreio rotineiro do funcionamento executivo deve ser um elemento necessário do tratamento integral para este grupo clínico (Heitzer et al., 2021; Longoria et al., 2022).
As associações entre desempenhos inferiores nas medidas de FEs e estresse socioambiental, sintomas depressivos maternos e comportamentos parentais foram observadas na pesquisa de Yarboi et al. (2017). Os resultados mostram suporte parcial para a hipótese de que maior estresse e sintomas depressivos se associam a um funcionamento executivo comprometido em crianças com DFs. As análises mostraram que o estresse financeiro materno foi o preditor mais forte em todos os domínios das FEs. Os resultados reforçam pesquisas anteriores, ao confirmarem que as crianças com este quadro clínico correm mais risco de desenvolver déficits cognitivos em vários domínios. Estudos futuros que realizem observações diretas de comportamentos parentais são necessários, juntamente com pesquisas recentes sobre intervenções parentais para melhorar o funcionamento executivo do grupo clínico em questão.
Em ensaio clínico randomizado, Hood et al. (2021) investigaram jovens com DFs e identificaram que fatores como sonolência, crises de dor, consultas de emergência e disfunção executiva predisseram independentemente a qualidade de vida relacionada à saúde. Esses dados, ao identificarem categorias de sintomas específicos e mensuráveis que podem servir como alvos para melhorar a qualidade de vida desta população, mostram-se úteis para possíveis intervenções multimodais direcionadas aos pacientes pediátricos com DFs, que incluam gerenciamento do sono, estratégias de enfrentamento da dor e treinamento de funções executivas.
Deste modo, a identificação precoce da doença junto a intervenções terapêuticas (medicação, grupos de apoio, programas de intervenção cognitiva etc.) podem auxiliar diretamente na redução do impacto negativo sobre a qualidade de vida dos pacientes e seus familiares. Ou seja, possibilitam a redução de danos físicos e a adoção de estratégias eficientes diante dos estressores (Silva et al., 2013). No entanto, o diagnóstico precoce de lactantes com DFs por triagem neonatal, apesar de auxiliar em uma melhor sobrevida, ainda não é considerado uma prioridade para ministérios da saúde em regiões mundialmente distintas. Nesse contexto, há necessidade de investimentos em programas de avaliação e intervenção ambulatorial para se ampliar estratégias de enfrentamento, qualificando tanto os cuidadores quanto os pacientes a lidarem com as situações adversas decorrentes da doença (Lorencini & De Paula, 2015).
O presente estudo apresenta algumas limitações que merecem atenção. Primeiramente, embora tenhamos pesquisado por literatura em bases de dados relevantes e também consultado listas de referências sem limitações temporais, a pesquisa empreendida foi restrita às bases utilizadas e aos idiomas indicados. A inclusão de uma maioria de estudos que avaliou crianças também é uma limitação que não nos permite generalizar estes achados para indivíduos em outras faixas etárias, como adultos e idosos.
Todavia, não foram identificadas na literatura outras revisões quantitativas que abordassem sobre correlatos biológicos e psicológicos/psicossociais das FEs nas DFs, ressaltando a relevância desta investigação para esta área de estudo. Os resultados identificados foram baseados em uma amostra considerável de participantes, de ambos os sexos e de genótipos variados com baixa heterogeneidade de efeitos, o que permite maior generalização dos achados. Ademais, os estudos incluídos nesta análise apresentaram qualidade de moderada a alta com base em critérios internacionais específicos para a avaliação de estudos de coorte observacionais e transversais. Foi possível fornecer um amplo resumo quantitativo da significância, magnitude e direção dos correlatos das FEs na literatura sobre DFs, resultados estes que podem ser usados para direcionar pesquisas futuras e intervenções clínicas.
Considerações Finais
Os resultados deste estudo forneceram evidências de que correlatos biológicos e psicológicos/psicossociais das FEs nas DFs apresentam efeitos significativos de tamanho moderado. A ênfase recai especialmente sobre a cerebrovasculopatia e a velocidade do fluxo sanguíneo cerebral, bem como sobre o desempenho acadêmico, a qualidade de vida e habilidades sociais. Observou-se que determinadas características biológicas das DFs se configuram como riscos potenciais para as FEs e que consequências de déficits executivos estão associados a problemas psicológicos e/ou psicossociais. Apesar de elementares para auxiliar no entendimento das reais necessidades deste público, vale ressaltar que trabalhos neste enfoque são restritos na literatura. Demanda-se pela realização de estudos futuros que possam desenvolver investigações precoces de habilidades executivas junto a elaboração de ações interventivas, no intuito de minimizar prejuízos no desenvolvimento global e ampliar pesquisas sobre estes domínios cognitivos mais específicos. Destacamos a necessidade de rastreamento precoce, prevenção e intervenções específicas para os déficits executivos identificados nesta população.

















